Официальное опубликование правовых актов
ОФИЦИАЛЬНОЕ ОПУБЛИКОВАНИЕ
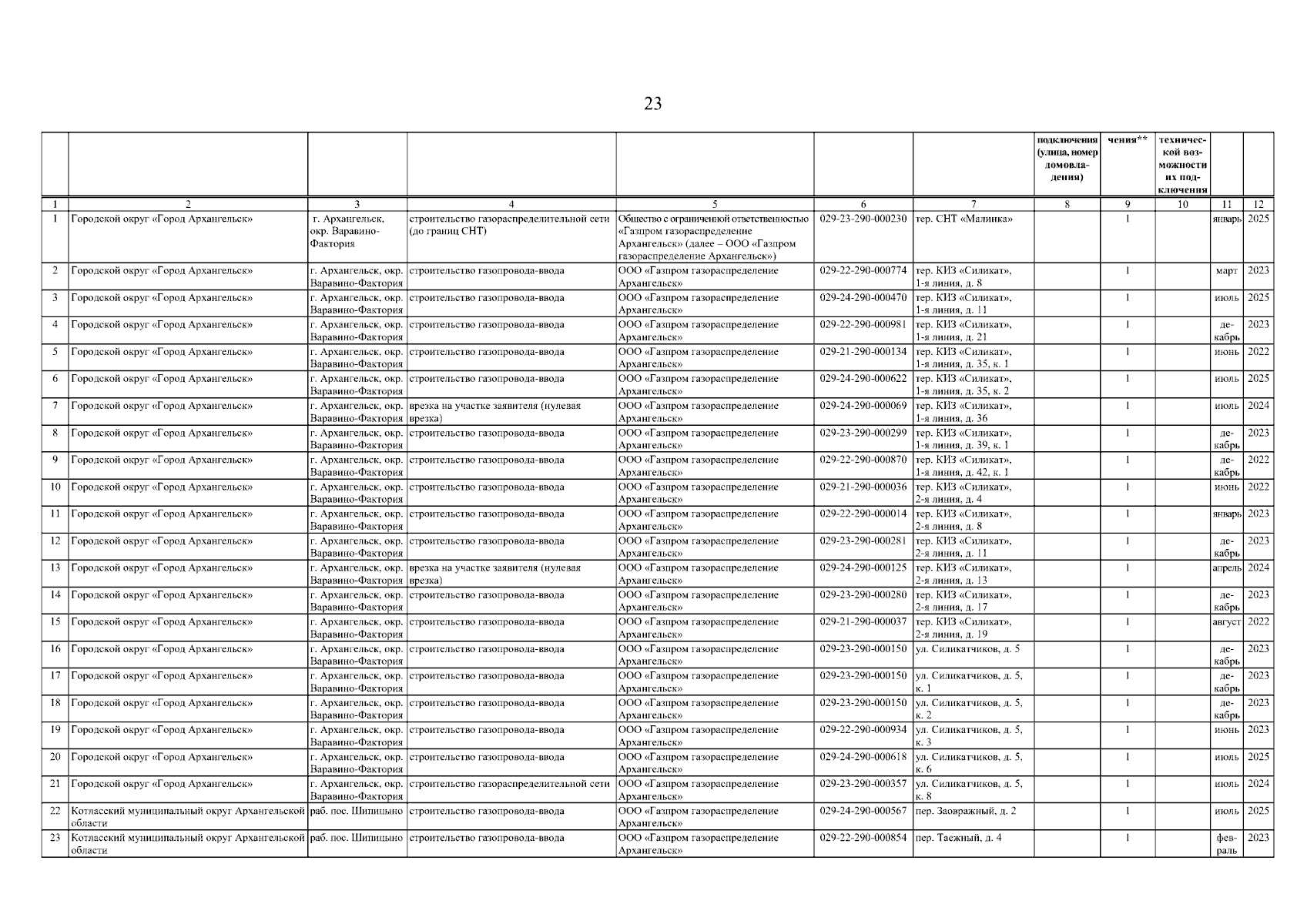
Постановление Правительства Архангельской области от 14.04.2025 № 322-пп
"О внесении изменений в региональную программу газификации жилищно-коммунального хозяйства, промышленных и иных организаций в Архангельской области на 2021 – 2030 годы"
Номер опубликования: 2900202504220005
Дата опубликования: 22.04.2025
Страница №24 из 306:
Увеличить