Официальное опубликование правовых актов
ОФИЦИАЛЬНОЕ ОПУБЛИКОВАНИЕ
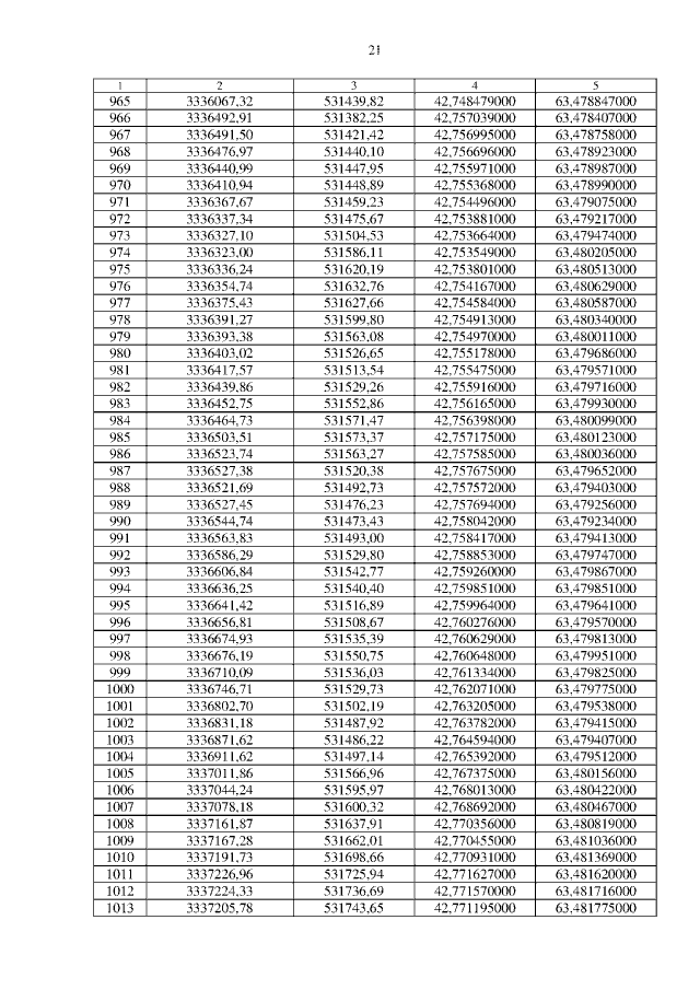
Постановление Правительства Архангельской области от 01.10.2019 № 531-пп
"О создании Двинско-Пинежского государственного природного комплексного (ландшафтного) заказника регионального значения"
Номер опубликования: 2900201910080009
Дата опубликования: 08.10.2019
Страница №33 из 46:
Увеличить