Официальное опубликование правовых актов
ОФИЦИАЛЬНОЕ ОПУБЛИКОВАНИЕ
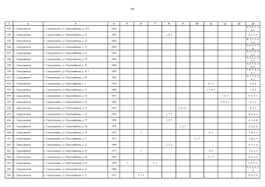
Постановление Правительства Архангельской области от 04.12.2018 № 561-пп
"О внесении изменений в приложения № 1 и 2 к региональной программе капитального ремонта общего имущества в многоквартирных домах, расположенных на территории Архангельской области"
Номер опубликования: 2900201812060001
Дата опубликования: 06.12.2018
Страница №497 из 561:
Увеличить