Официальное опубликование правовых актов
ОФИЦИАЛЬНОЕ ОПУБЛИКОВАНИЕ
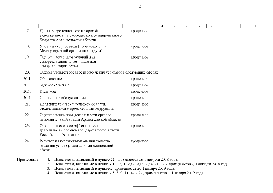
Указ Губернатора Архангельской области от 15.06.2018 № 52-у
"О подготовке информации к докладу Губернатора Архангельской области о фактически достигнутых значениях показателей для оценки эффективности деятельности исполнительных органов государственной власти Архангельской области и их планируемых значениях на трехлетний период"
Номер опубликования: 2900201806220003
Дата опубликования: 22.06.2018
Страница №7 из 11:
Увеличить