Официальное опубликование правовых актов
ОФИЦИАЛЬНОЕ ОПУБЛИКОВАНИЕ
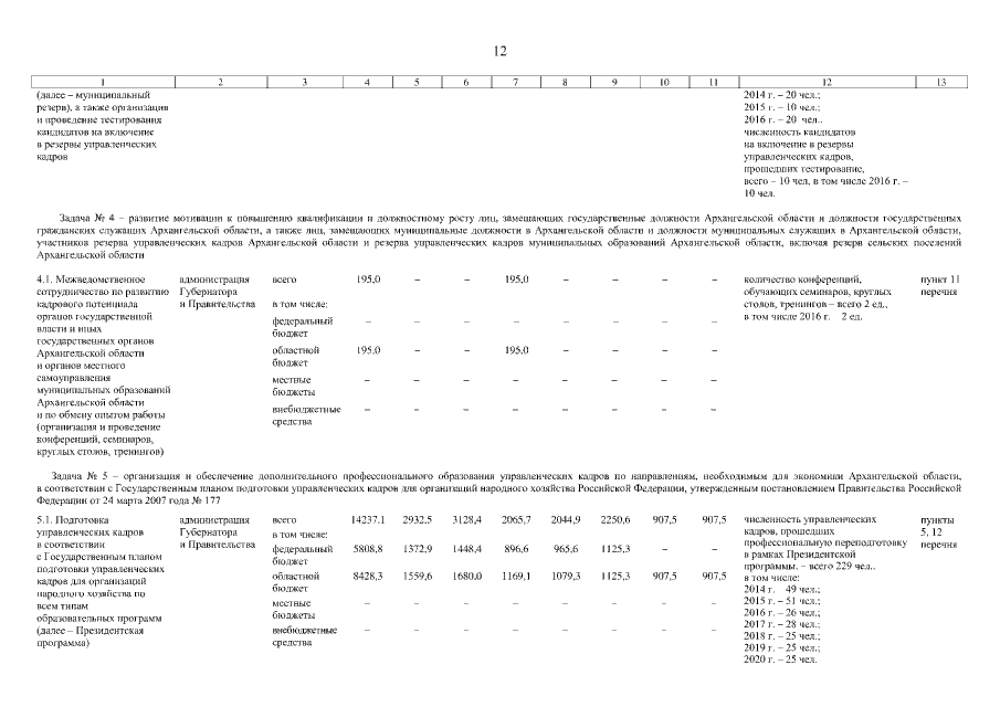
Постановление Правительства Архангельской области от 13.10.2017 № 417-пп
"О внесении изменений в государственную программу Архангельской области "Эффективное государственное управление в Архангельской области (2014 – 2020 годы)"
Номер опубликования: 2900201710200025
Дата опубликования: 20.10.2017
Страница №13 из 44:
Увеличить