Официальное опубликование правовых актов
ОФИЦИАЛЬНОЕ ОПУБЛИКОВАНИЕ
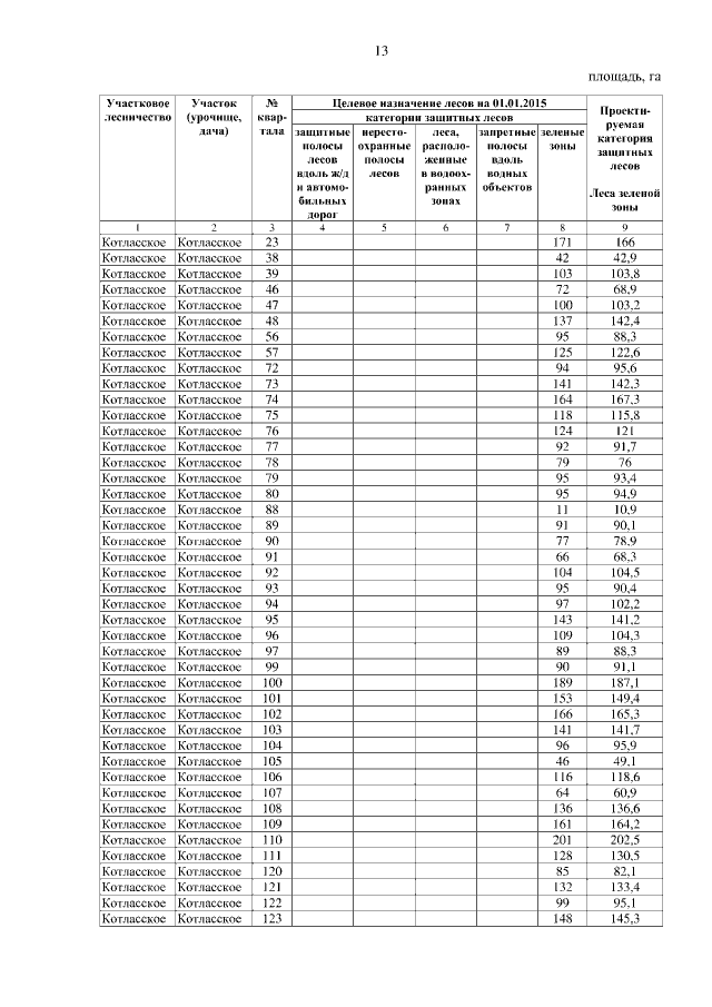
Постановление Правительства Архангельской области от 11.10.2016 № 408-пп
"О границах зеленых зон Котласского лесничества Архангельской области"
Номер опубликования: 2900201610190003
Дата опубликования: 19.10.2016
Страница №15 из 22:
Увеличить