Официальное опубликование правовых актов
ОФИЦИАЛЬНОЕ ОПУБЛИКОВАНИЕ
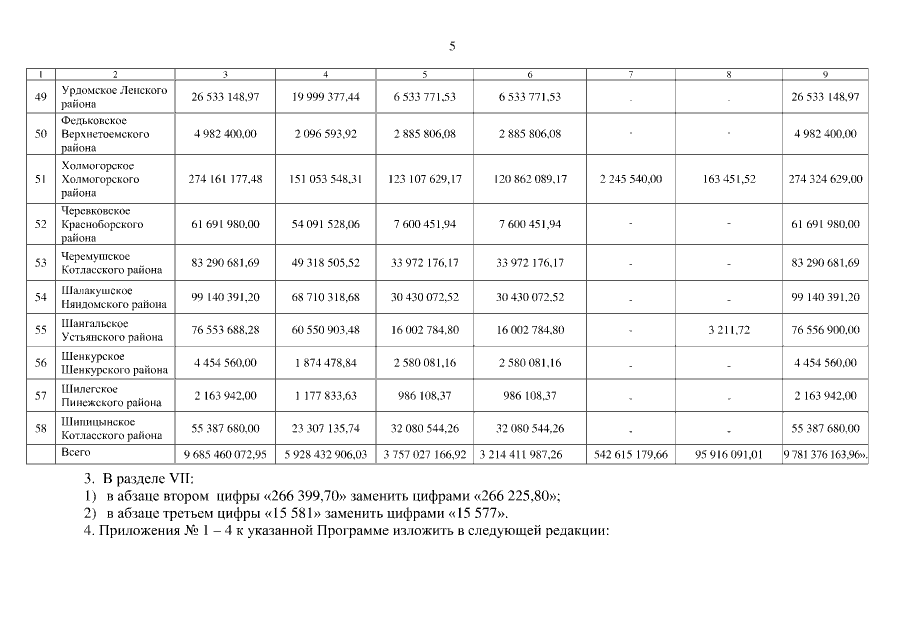
Постановление Правительства Архангельской области от 31.05.2016 № 187-пп
"О внесении изменений в адресную программу Архангельской области "Переселение граждан из аварийного жилищного фонда" на 2013 – 2017 годы"
Номер опубликования: 2900201606030005
Дата опубликования: 03.06.2016
Страница №6 из 124:
Увеличить