Официальное опубликование правовых актов
ОФИЦИАЛЬНОЕ ОПУБЛИКОВАНИЕ
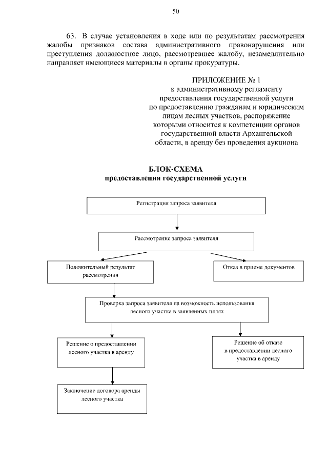
Указ Губернатора Архангельской области от 05.05.2016 № 47-у
"О внесении изменений в отдельные административные регламенты предоставления государственных услуг"
Номер опубликования: 2900201605130001
Дата опубликования: 13.05.2016
Страница №51 из 57:
Увеличить