Официальное опубликование правовых актов
ОФИЦИАЛЬНОЕ ОПУБЛИКОВАНИЕ
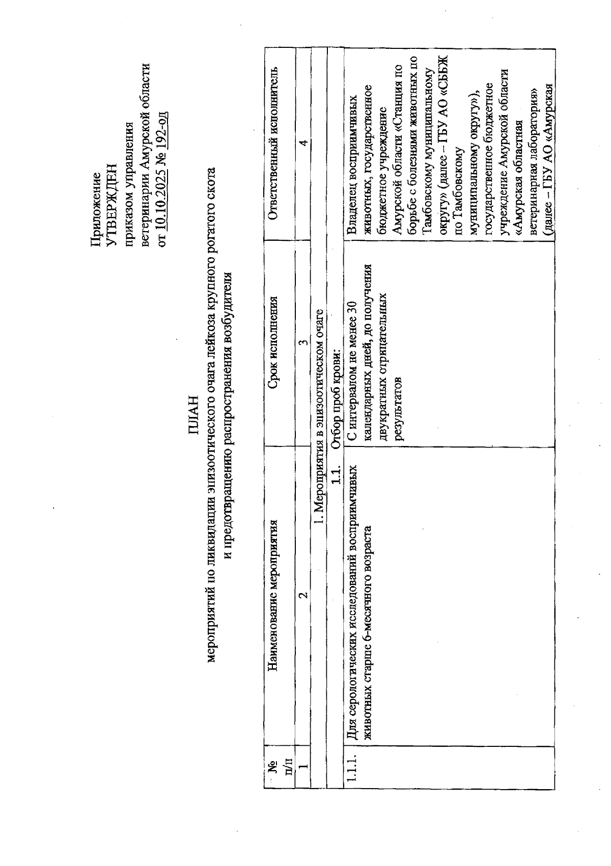
Приказ Управления ветеринарии Амурской области от 10.10.2025 № 192-од
"Об установлении ограничительных мероприятий (карантина) по лейкозу крупного рогатого скота на территории Амурской области"
(Зарегистрирован 15.10.2025 № ИО-198)
Номер опубликования: 2801202510160001
Дата опубликования: 16.10.2025
Страница №4 из 15:
Увеличить