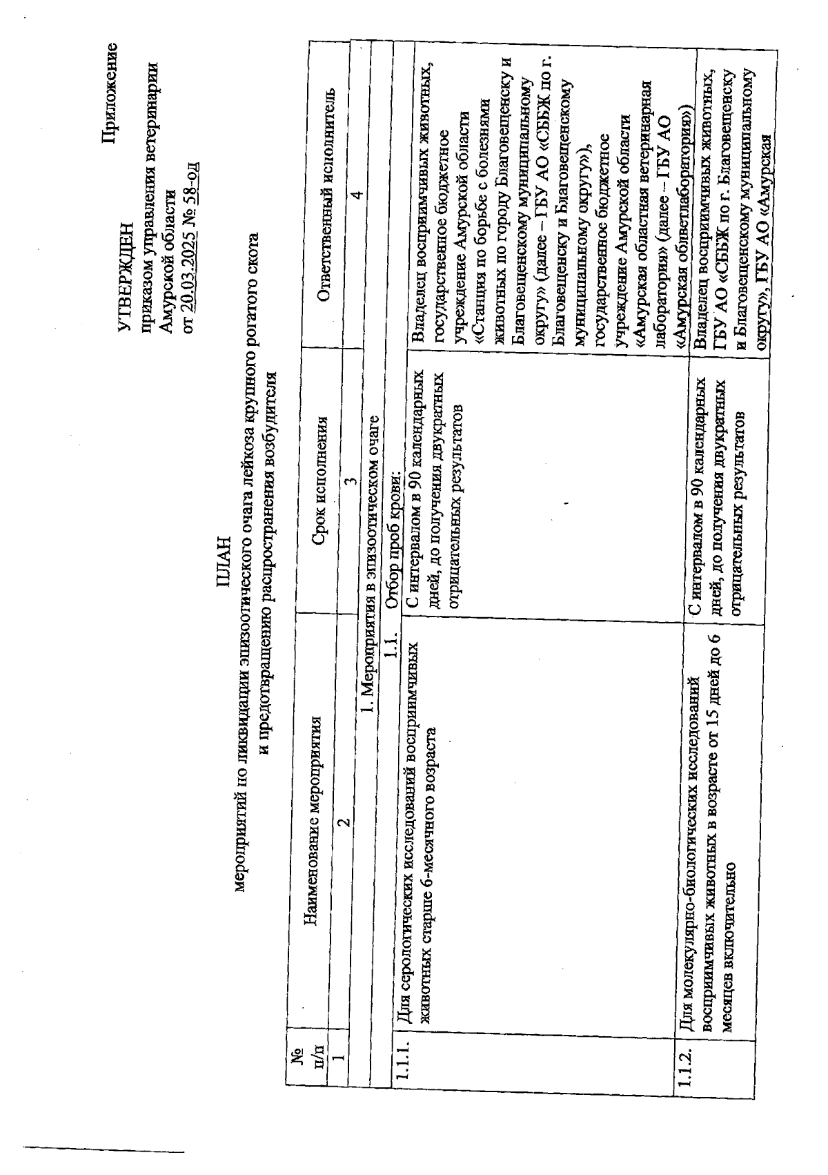
Приказ Управления ветеринарии Амурской области от 20.03.2025 № 58-од
"Об установлении ограничительных мероприятий (карантина) по лейкозу крупного рогатого скота на территории Амурской области"
(Зарегистрирован 21.03.2025 № ИО-40)
"Об установлении ограничительных мероприятий (карантина) по лейкозу крупного рогатого скота на территории Амурской области"
(Зарегистрирован 21.03.2025 № ИО-40)
Номер опубликования: 2801202503250003
Дата опубликования:
25.03.2025
