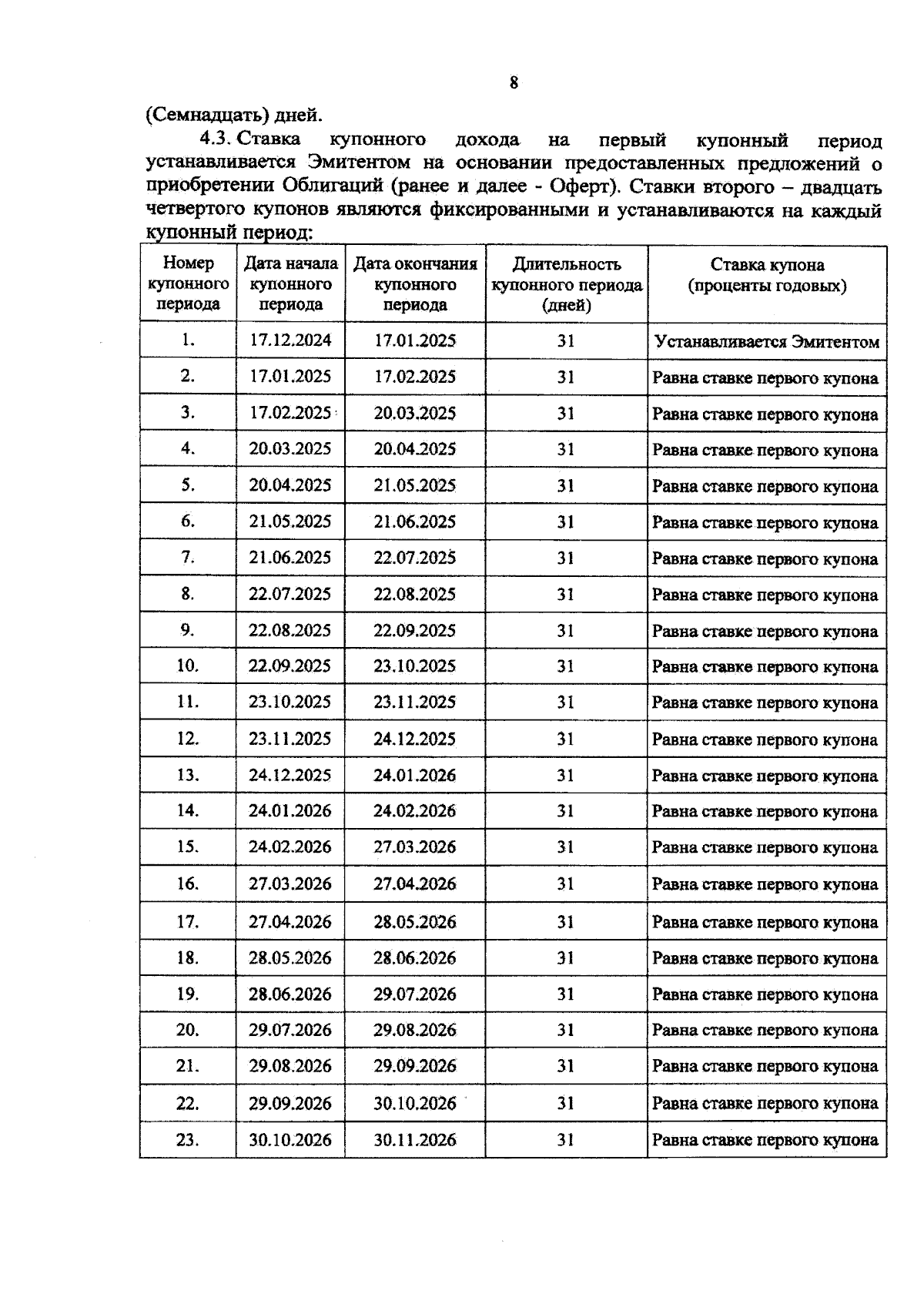
Приказ Министерства финансов Амурской области от 04.12.2024 № 311
"Об утверждении Решения об эмиссии выпуска государственных облигаций Амурской области в 2024 году с фиксированным купонным доходом"
(Зарегистрирован 06.12.2024 № ИО-555)
"Об утверждении Решения об эмиссии выпуска государственных облигаций Амурской области в 2024 году с фиксированным купонным доходом"
(Зарегистрирован 06.12.2024 № ИО-555)
Номер опубликования: 2801202412060002
Дата опубликования:
06.12.2024
