Официальное опубликование правовых актов
ОФИЦИАЛЬНОЕ ОПУБЛИКОВАНИЕ
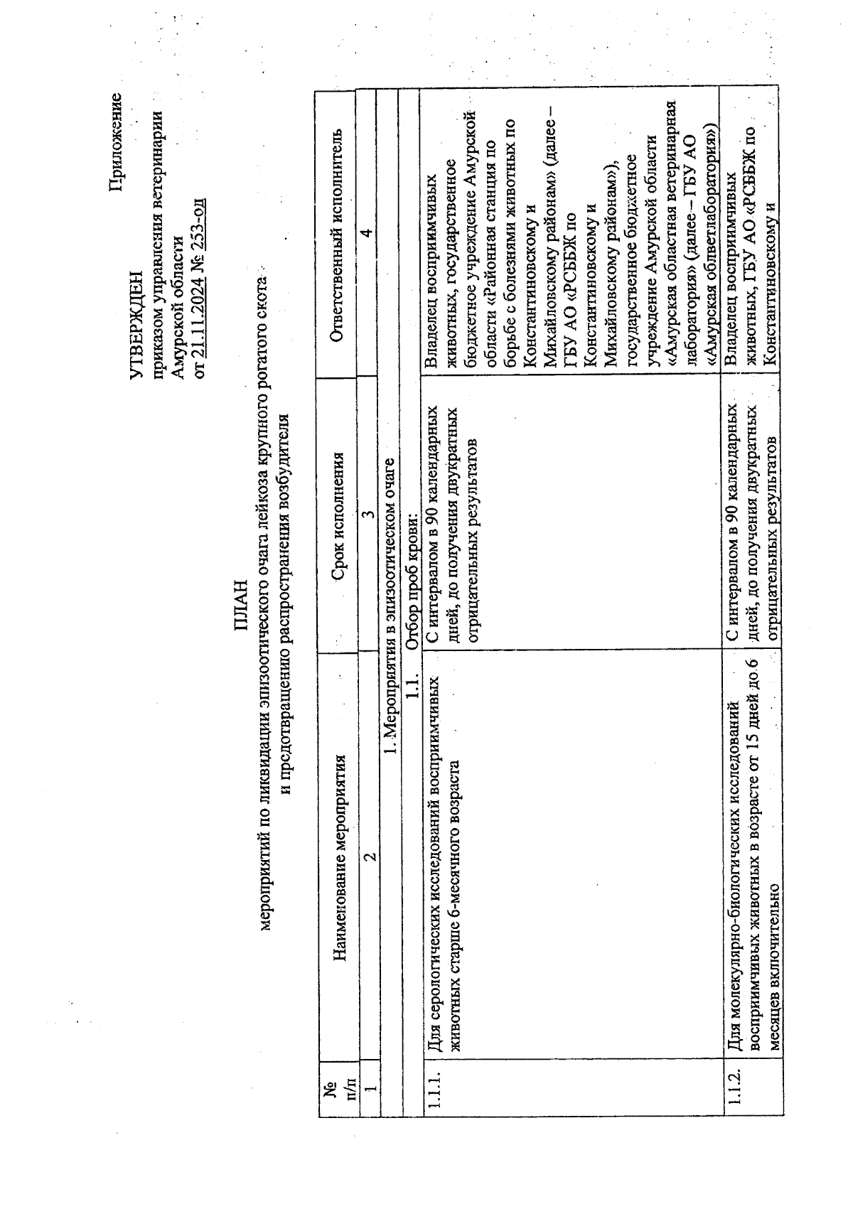
Приказ Управления ветеринарии Амурской области от 21.11.2024 № 253-од
"Об установлении ограничительных мероприятий (карантина) по лейкозу крупного рогатого скота на территории Амурской области"
(Зарегистрирован 26.11.2024 № ИО-544)
Номер опубликования: 2801202412020007
Дата опубликования: 02.12.2024
Страница №4 из 14:
Увеличить