Официальное опубликование правовых актов
ОФИЦИАЛЬНОЕ ОПУБЛИКОВАНИЕ
Приказ Министерства финансов Амурской области от 26.11.2024 № 302
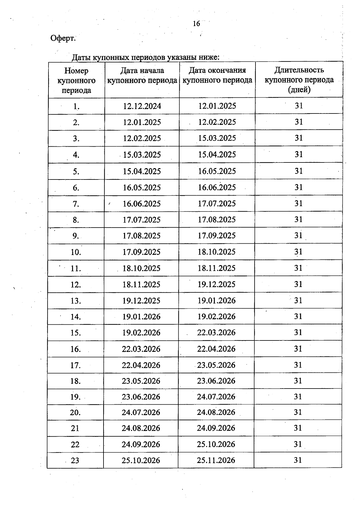
"Об утверждении Решения об эмиссии выпуска государственных облигаций Амурской области в 2024 году с переменным купонным доходом"
(Зарегистрирован 28.11.2024 № ИО-550)
Номер опубликования: 2801202412020001
Дата опубликования: 02.12.2024
Страница №18 из 20:
Увеличить