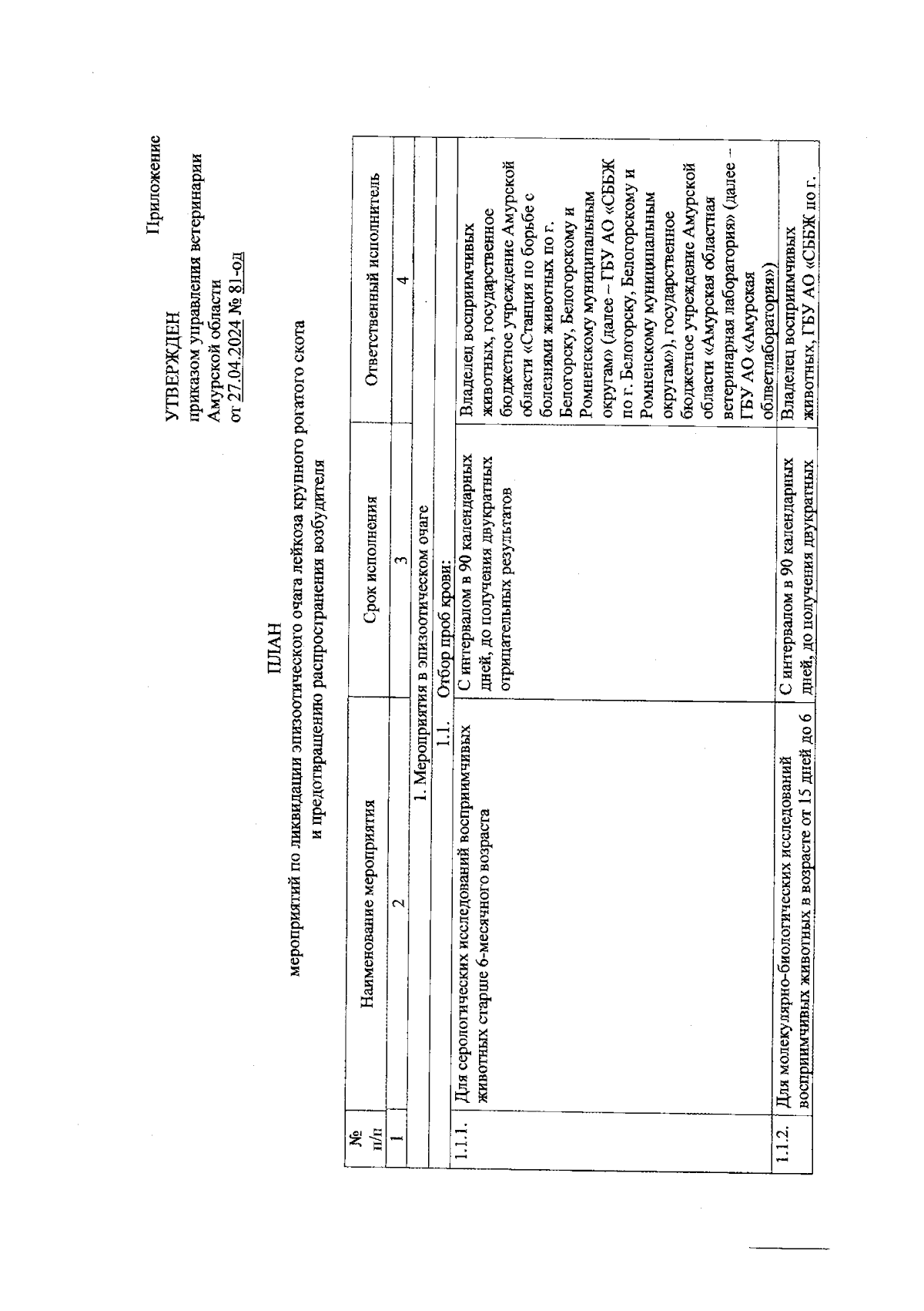
Приказ Управления ветеринарии Амурской области от 27.04.2024 № 81-од
"Об установлении ограничительных мероприятий (карантина) по лейкозу крупного рогатого скота на территории Амурской области"
(Зарегистрирован 27.04.2024 № ИО-282)
"Об установлении ограничительных мероприятий (карантина) по лейкозу крупного рогатого скота на территории Амурской области"
(Зарегистрирован 27.04.2024 № ИО-282)
Номер опубликования: 2801202404270005
Дата опубликования:
27.04.2024
