Официальное опубликование правовых актов
ОФИЦИАЛЬНОЕ ОПУБЛИКОВАНИЕ
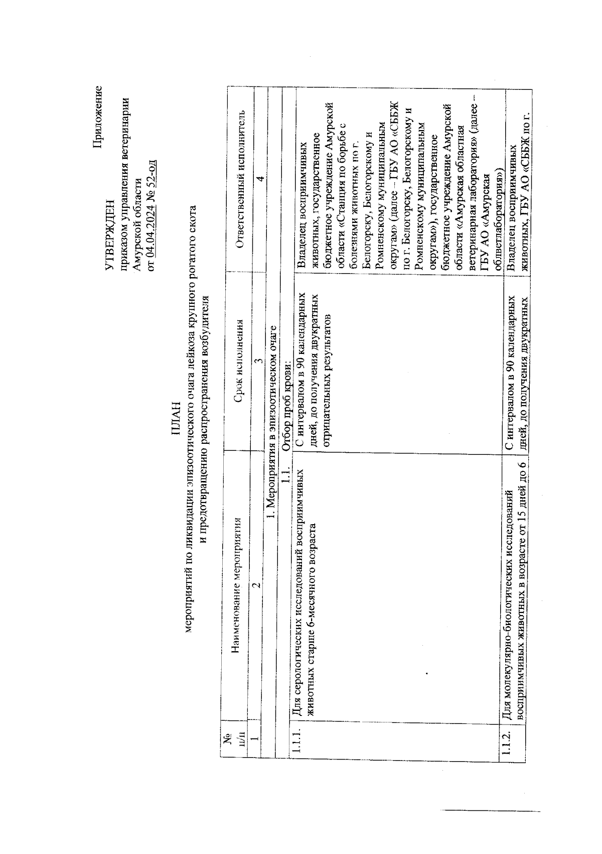
Приказ Управления ветеринарии Амурской области от 04.04.2024 № 52-од
"Об установлении ограничительных мероприятий (карантина) по лейкозу крупного рогатого скота на территории Амурской области"
(Зарегистрирован 05.04.2024 № ИО-226)
Номер опубликования: 2801202404090001
Дата опубликования: 09.04.2024
Страница №4 из 15:
Увеличить