Официальное опубликование правовых актов
ОФИЦИАЛЬНОЕ ОПУБЛИКОВАНИЕ
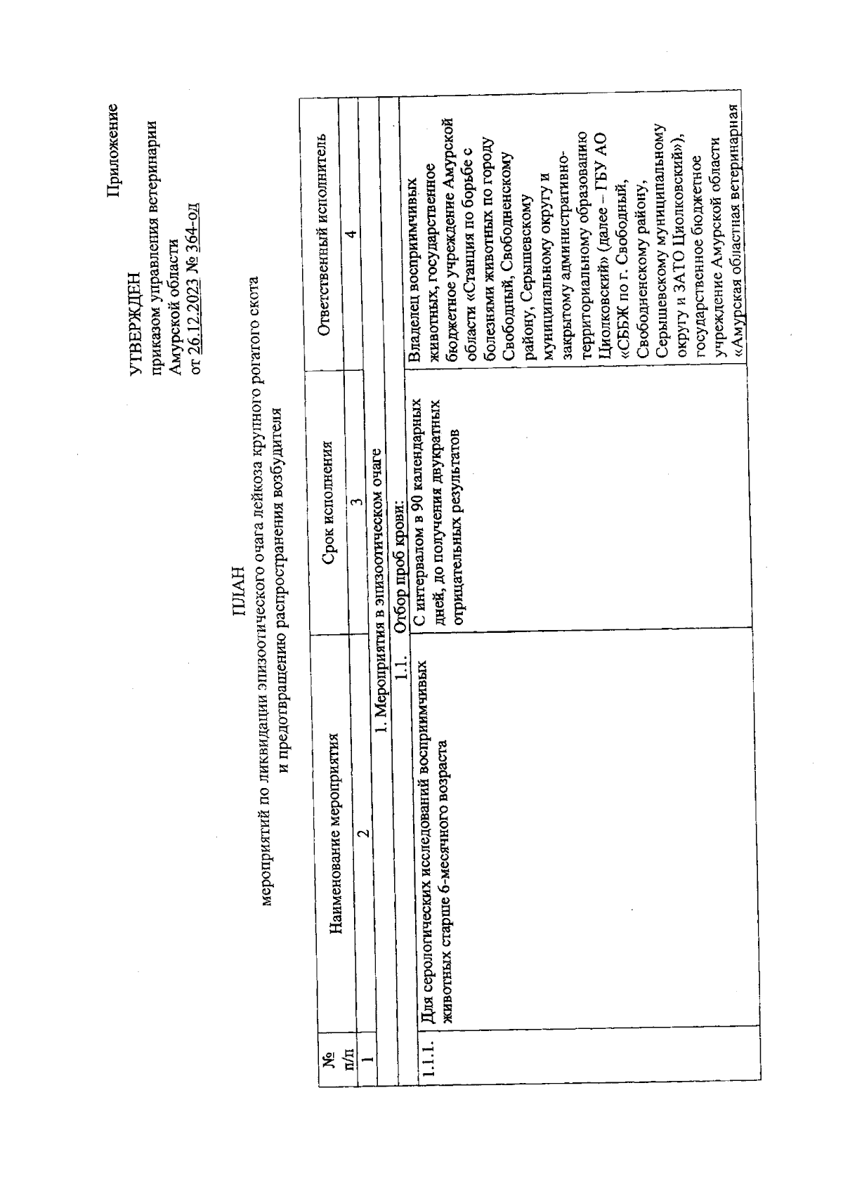
Приказ Управления ветеринарии Амурской области от 26.12.2023 № 364-од
"Об установлении ограничительных мероприятий (карантина) по лейкозу крупного рогатого скота на территории Амурской области"
(Зарегистрирован 28.12.2023 № ИО-459)
Номер опубликования: 2801202312290003
Дата опубликования: 29.12.2023
Страница №4 из 15:
Увеличить