Официальное опубликование правовых актов
ОФИЦИАЛЬНОЕ ОПУБЛИКОВАНИЕ
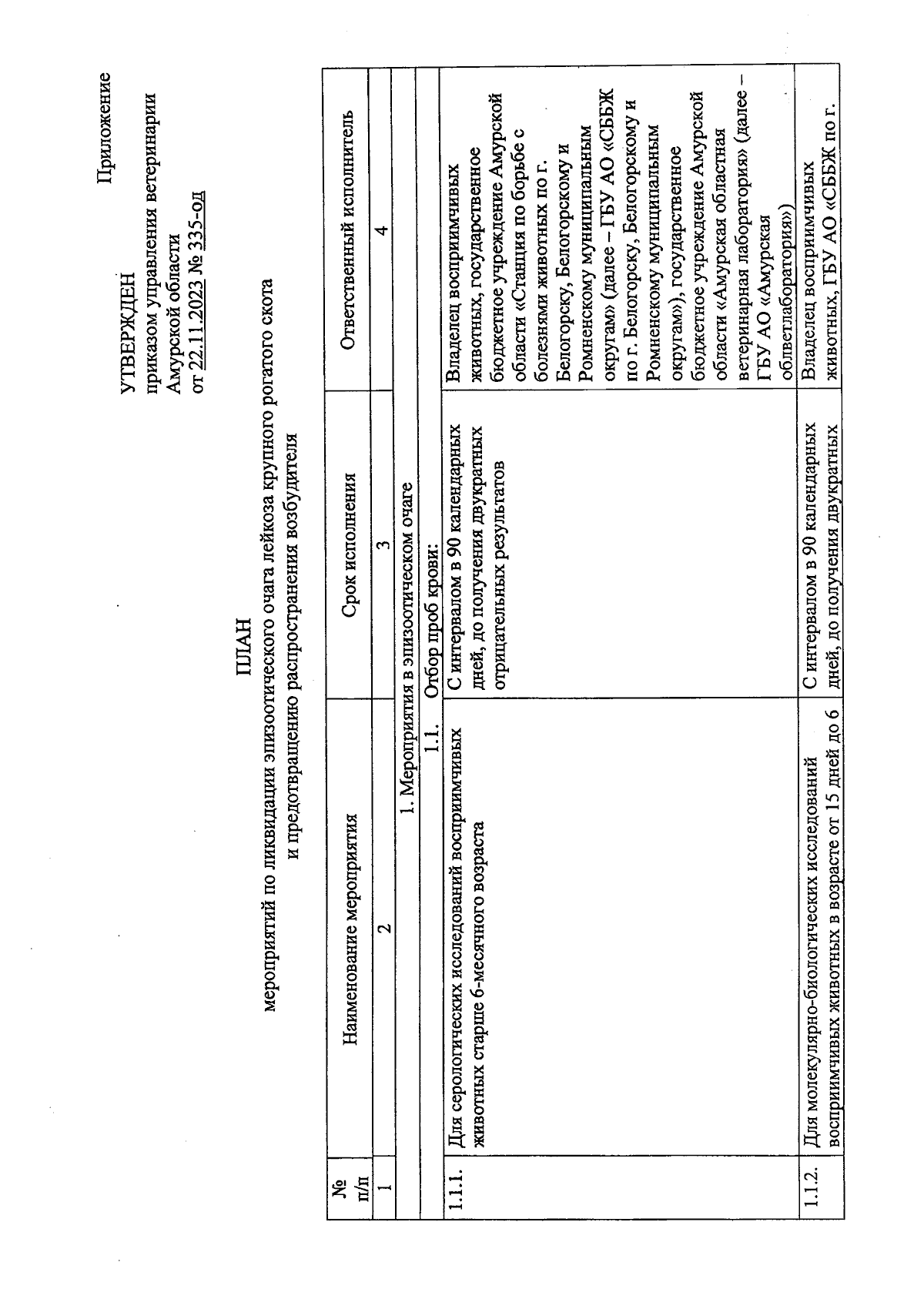
Приказ Управления ветеринарии Амурской области от 22.11.2023 № 335-од
"Об установлении ограничительных мероприятий (карантина) по лейкозу крупного рогатого скота на территории Амурской области"
(Зарегистрирован 24.11.2023 № ИО-379)
Номер опубликования: 2801202311270003
Дата опубликования: 27.11.2023
Страница №4 из 15:
Увеличить