Официальное опубликование правовых актов
ОФИЦИАЛЬНОЕ ОПУБЛИКОВАНИЕ
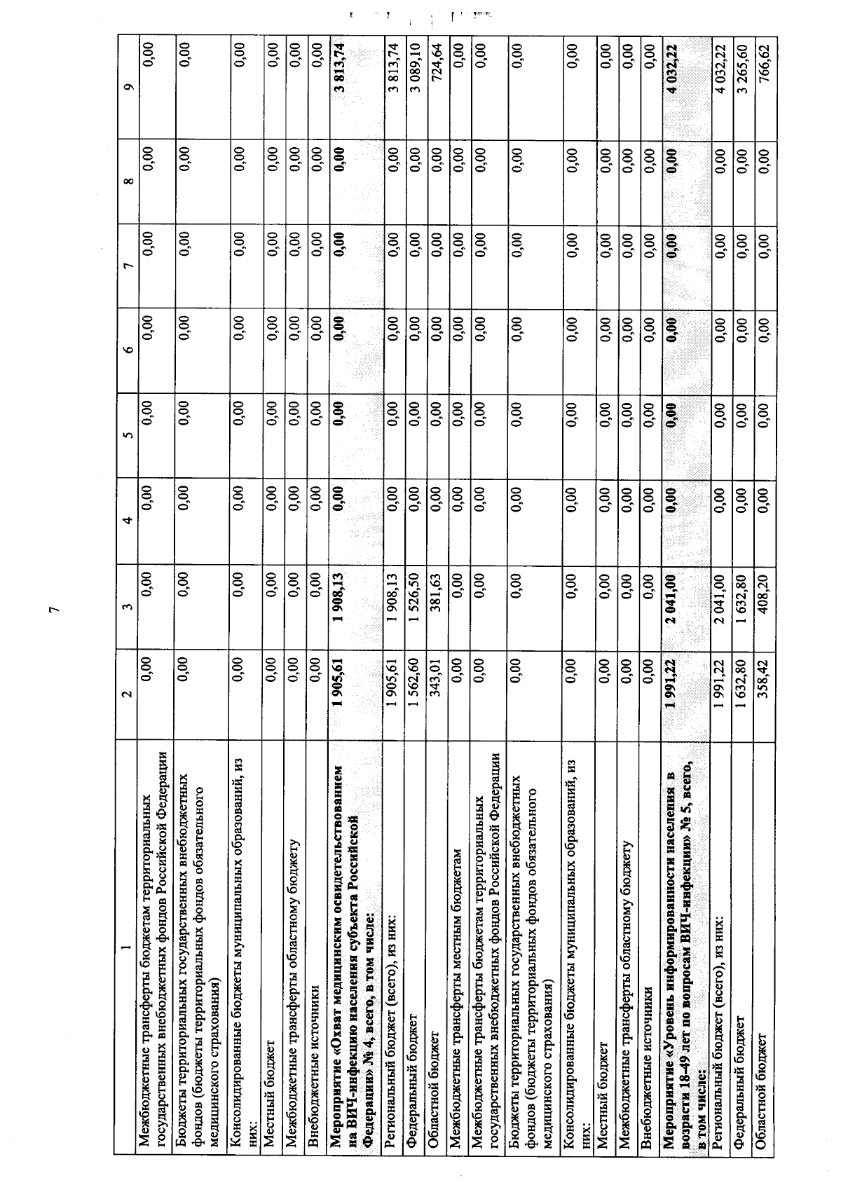
Приказ Министерства здравоохранения Амурской области от 10.11.2023 № 1
"Об утверждении паспорта комплекса процессных мероприятий "Профилактика заболеваний и формирование здорового образа жизни. Развитие первичной медико-санитарной помощи"
(Зарегистрирован 13.11.2023 № ИО-246)
Номер опубликования: 2801202311200013
Дата опубликования: 20.11.2023
Страница №9 из 20:
Увеличить