Официальное опубликование правовых актов
ОФИЦИАЛЬНОЕ ОПУБЛИКОВАНИЕ
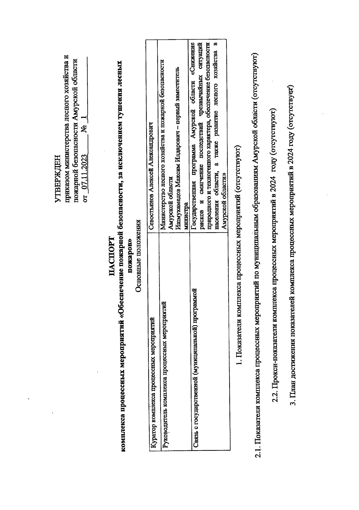
Приказ Министерства лесного хозяйства и пожарной безопасности Амурской области от 07.11.2023 № 1
"Об утверждении паспорта комплекса процессных мероприятий "Обеспечение пожарной безопасности, за исключением тушения лесных пожаров"
(Зарегистрирован 09.11.2023 № ИО-218)
Номер опубликования: 2801202311100012
Дата опубликования: 10.11.2023
Страница №3 из 7:
Увеличить