Официальное опубликование правовых актов
ОФИЦИАЛЬНОЕ ОПУБЛИКОВАНИЕ
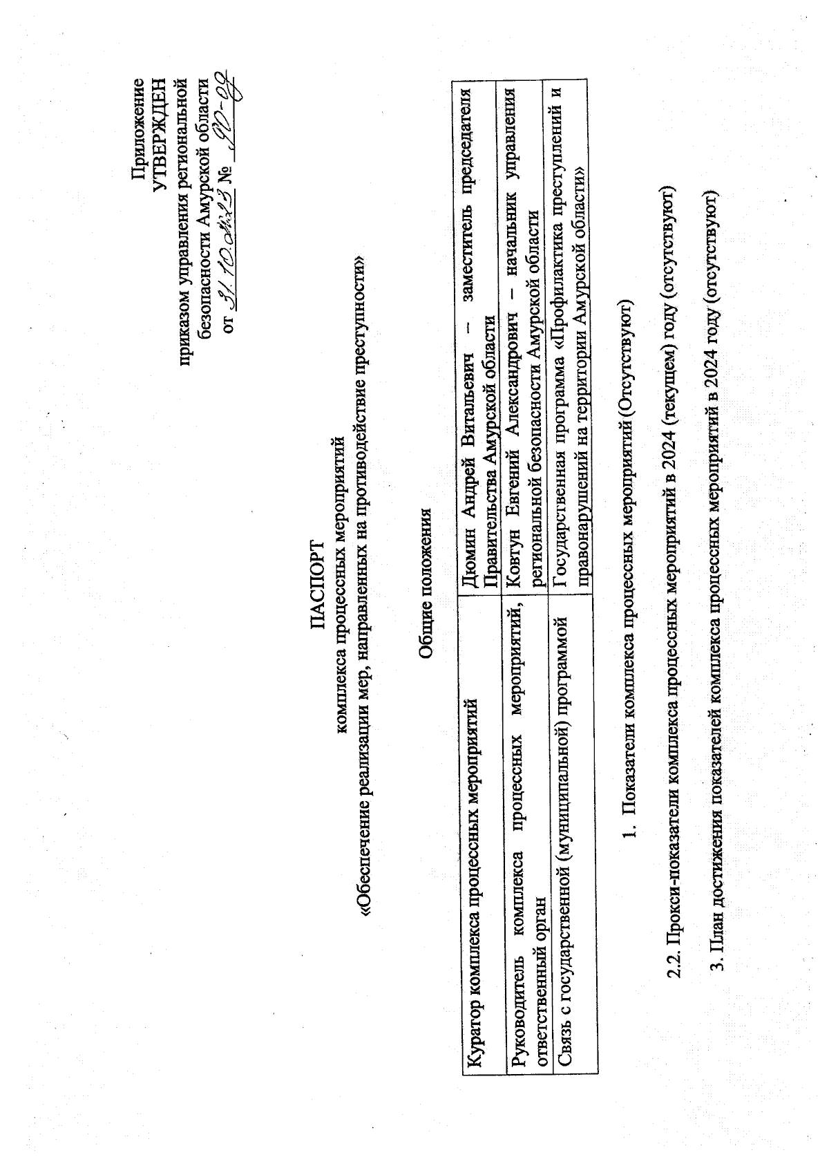
Приказ Управления региональной безопасности Амурской области от 31.10.2023 № 90-од
"Об утверждении паспорта комплекса процессных мероприятий "Обеспечение реализации мер, направленных на противодействие преступности"
(Зарегистрирован 08.11.2023 № ИО-211)
Номер опубликования: 2801202311090006
Дата опубликования: 09.11.2023
Страница №2 из 18:
Увеличить