Официальное опубликование правовых актов
ОФИЦИАЛЬНОЕ ОПУБЛИКОВАНИЕ
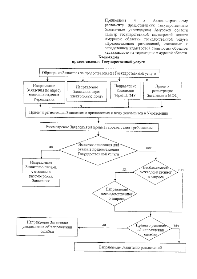
Приказ Министерства имущественных отношений Амурской области от 14.02.2020 № 79-ОД
"Об утверждении Административного регламента предоставления государственным бюджетным учреждением Амурской области "Центр государственной кадастровой оценки Амурской области" государственной услуги "О предоставлении разъяснений, связанных с определением кадастровой стоимости объектов недвижимости на территории Амурской области"
Номер опубликования: 2801202002200001
Дата опубликования: 20.02.2020
Страница №34 из 38:
Увеличить