Официальное опубликование правовых актов
ОФИЦИАЛЬНОЕ ОПУБЛИКОВАНИЕ
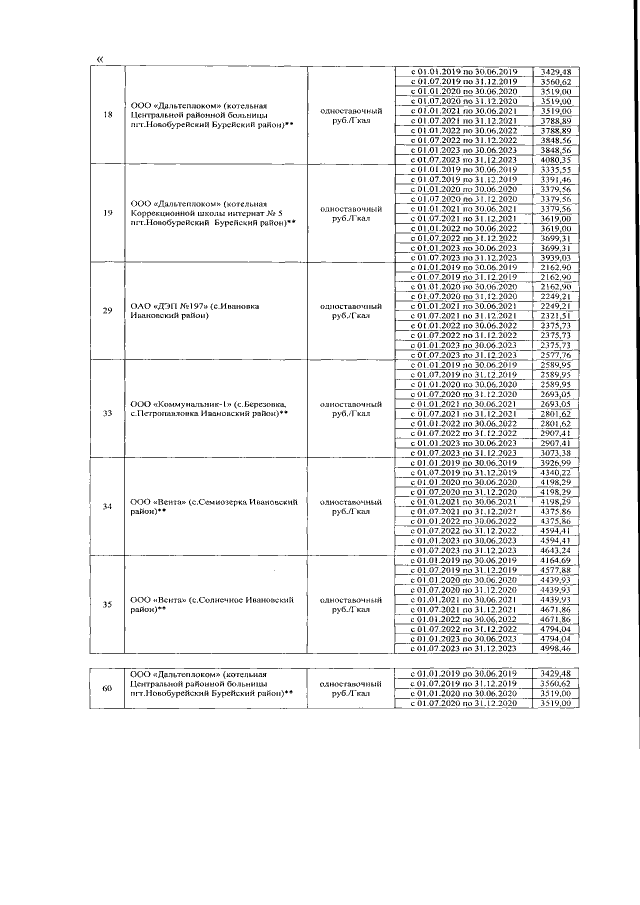
Приказ Управления государственного регулирования цен и тарифов Амурской области от 25.10.2019 № 116-пр/т
"Об установлении тарифов в сфере теплоснабжения на 2019-2024 гг. О внесении изменений в приказы управления государственного регулирования цен и тарифов Амурской области"
Номер опубликования: 2801201910310004
Дата опубликования: 31.10.2019
Страница №6 из 14:
Увеличить