Официальное опубликование правовых актов
ОФИЦИАЛЬНОЕ ОПУБЛИКОВАНИЕ
Приказ Министерства имущественных отношений Амурской области от 08.10.2019 № 649-ОД
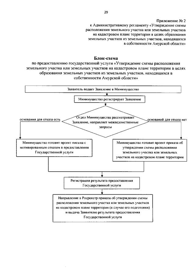
"Об утверждении Административного регламента предоставления министерством имущественных отношений Амурской области государственной услуги "Утверждение схемы расположения земельного участка или земельных участков на кадастровом плане территории в целях образования земельных участков из земельных участков, находящихся в собственности Амурской области"
Номер опубликования: 2801201910110001
Дата опубликования: 11.10.2019
Страница №31 из 34:
Увеличить