Официальное опубликование правовых актов
ОФИЦИАЛЬНОЕ ОПУБЛИКОВАНИЕ
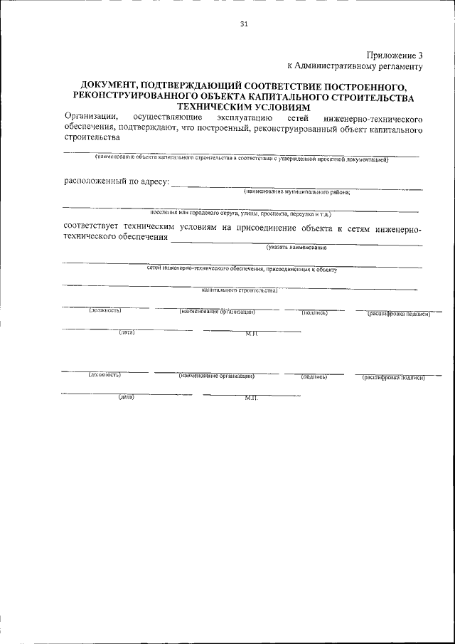
Приказ Министерства строительства и архитектуры Амурской области от 11.06.2019 № 86-Од
"О внесении изменений в административный регламент министерства строительства И архитектуры области по предоставлению государственной услуги"
Номер опубликования: 2801201906180001
Дата опубликования: 18.06.2019
Страница №42 из 43:
Увеличить