Официальное опубликование правовых актов
ОФИЦИАЛЬНОЕ ОПУБЛИКОВАНИЕ
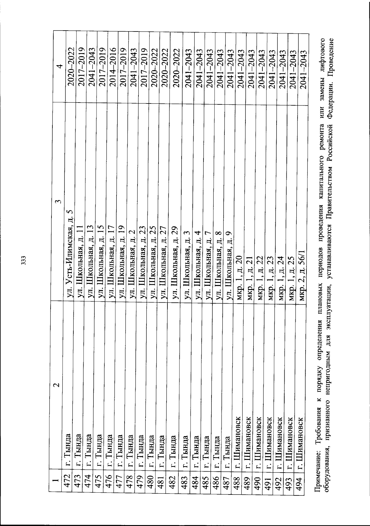
Постановление Правительства Амурской области от 12.12.2025 № 950
"О внесении изменений в постановление Правительства Амурской области от 23.01.2014 № 26"
Номер опубликования: 2800202512170005
Дата опубликования: 17.12.2025
Страница №334 из 335:
Увеличить