Официальное опубликование правовых актов
ОФИЦИАЛЬНОЕ ОПУБЛИКОВАНИЕ
Постановление губернатора Амурской области от 17.11.2025 № 219
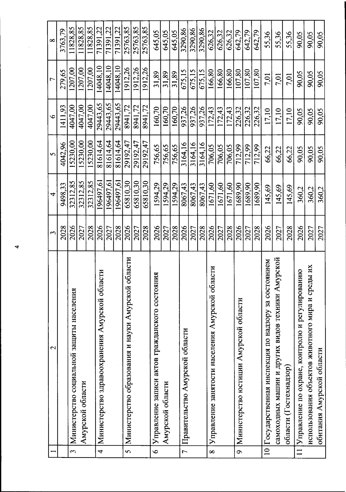
"Об утверждении лимитов потребления топливно-энергетических ресурсов на период с 2026 по 2028 год для главных распорядителей бюджетных средств Амурской области"
Номер опубликования: 2800202511190006
Дата опубликования: 19.11.2025
Страница №5 из 9:
Увеличить