Официальное опубликование правовых актов
ОФИЦИАЛЬНОЕ ОПУБЛИКОВАНИЕ
Постановление губернатора Амурской области от 28.10.2025 № 207
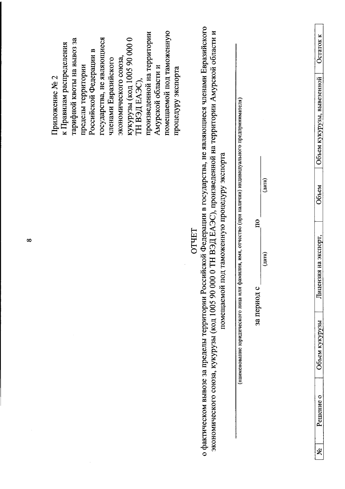
"Об утверждении Правил распределения тарифной квоты на вывоз за пределы территории Российской Федерации в государства, не являющиеся членами Евразийского экономического союза, кукурузы (код 1005 90 000 0 ТН ВЭД ЕАЭС), произведенной на территории Амурской области и помещаемой под таможенную процедуру экспорта"
Номер опубликования: 2800202510300004
Дата опубликования: 30.10.2025
Страница №9 из 10:
Увеличить