Официальное опубликование правовых актов
ОФИЦИАЛЬНОЕ ОПУБЛИКОВАНИЕ
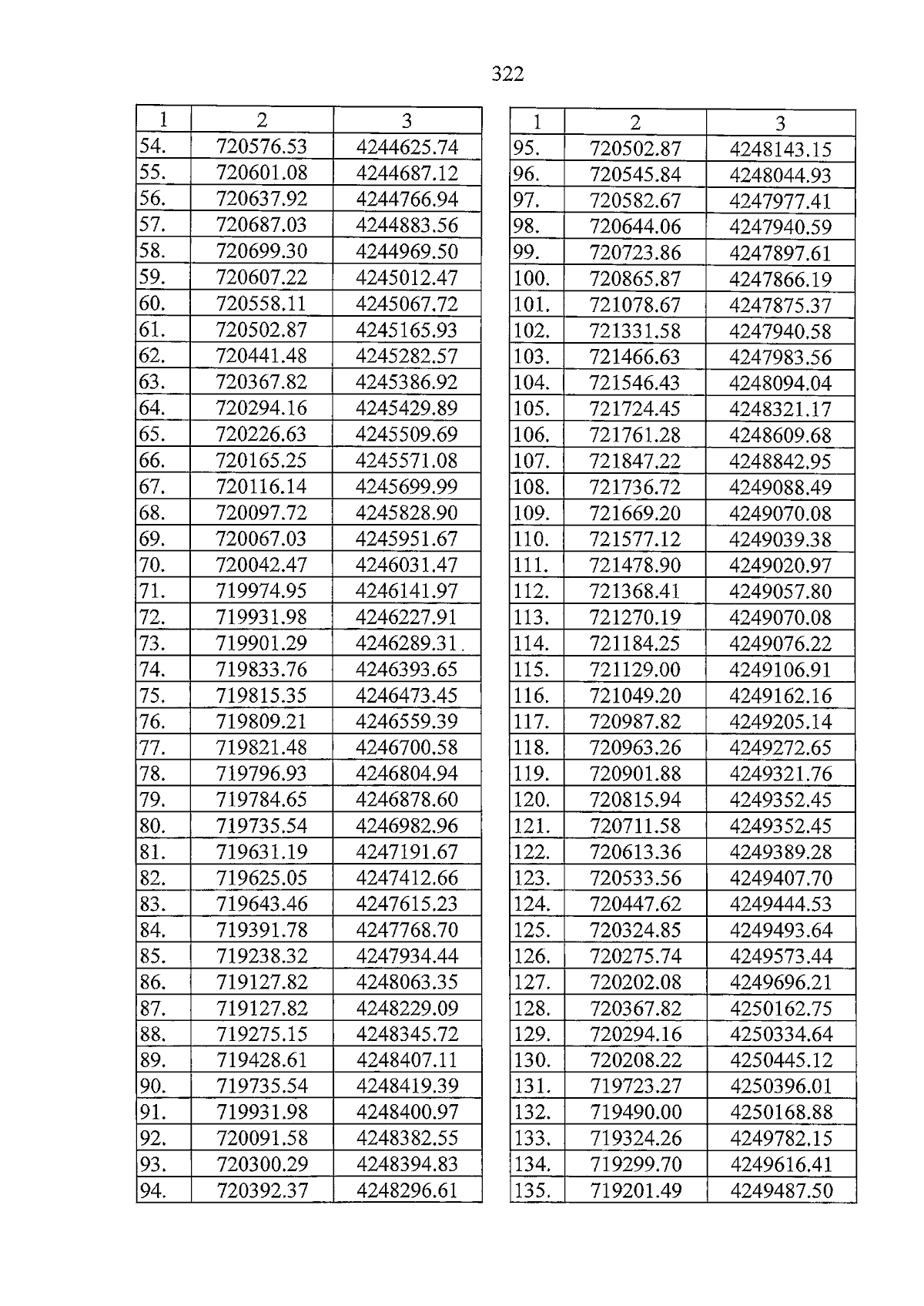
Постановление Правительства Амурской области от 13.08.2025 № 634
"О внесении изменений в постановление Правительства Амурской области от 09.08.2019 № 446"
Номер опубликования: 2800202508140006
Дата опубликования: 14.08.2025
Страница №323 из 580:
Увеличить