Официальное опубликование правовых актов
ОФИЦИАЛЬНОЕ ОПУБЛИКОВАНИЕ
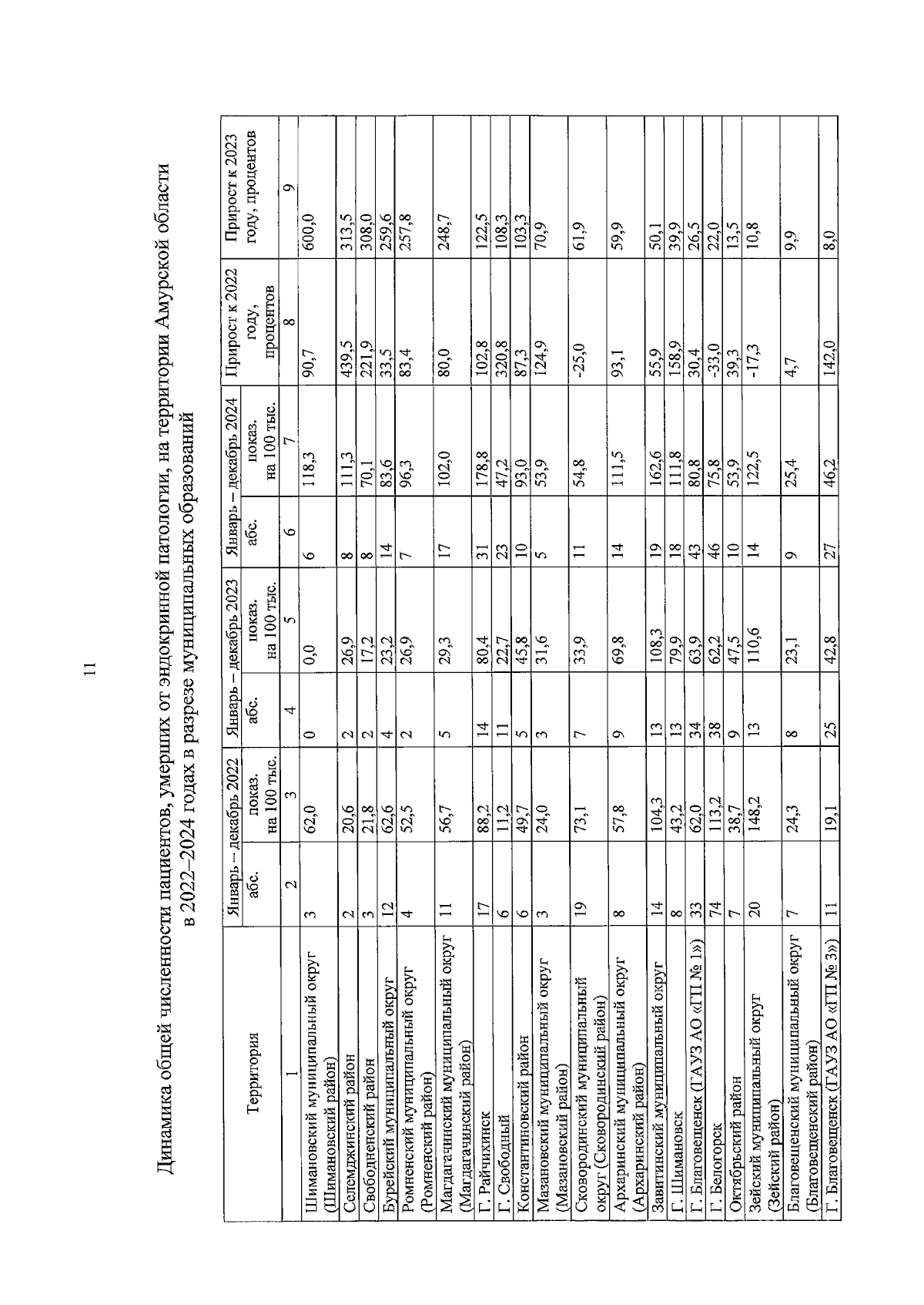
Постановление Правительства Амурской области от 30.06.2025 № 522
"Об утверждении региональной программы Амурской области "Борьба с сахарным диабетом"
Номер опубликования: 2800202507030019
Дата опубликования: 03.07.2025
Страница №12 из 86:
Увеличить