Официальное опубликование правовых актов
ОФИЦИАЛЬНОЕ ОПУБЛИКОВАНИЕ
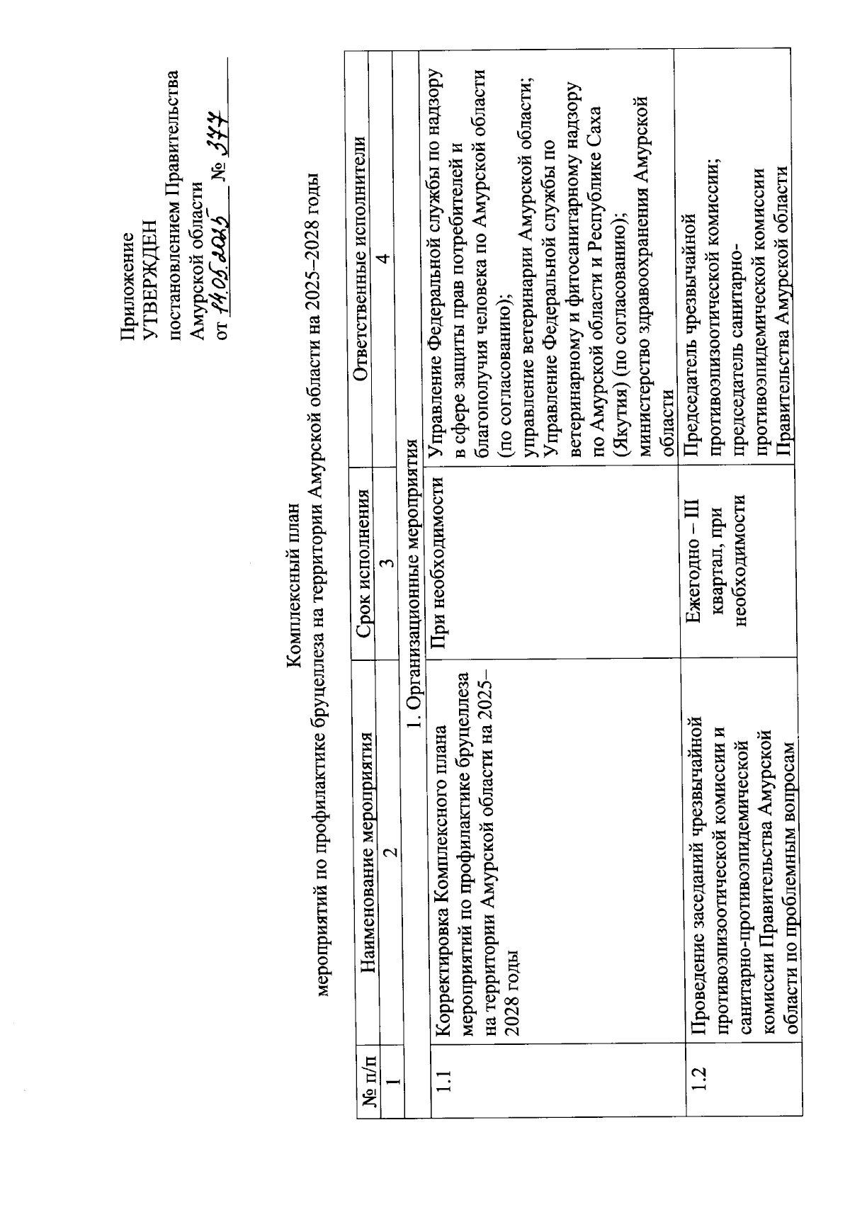
Постановление Правительства Амурской области от 14.05.2025 № 377
"Об утверждении Комплексного плана мероприятий по профилактике бруцеллеза на территории Амурской области на 2025-2028 годы"
Номер опубликования: 2800202505160009
Дата опубликования: 16.05.2025
Страница №2 из 19:
Увеличить