Официальное опубликование правовых актов
ОФИЦИАЛЬНОЕ ОПУБЛИКОВАНИЕ
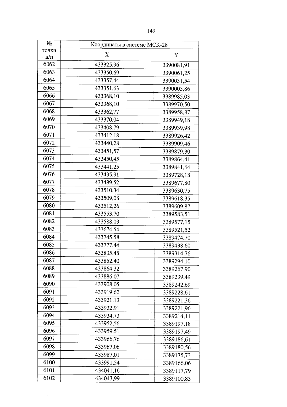
Закон Амурской области от 30.04.2025 № 639-ОЗ
"О преобразовании сельских поселений Октябрьского муниципального района Амурской области во вновь образованное муниципальное образование Октябрьский муниципальный округ Амурской области"
Номер опубликования: 2800202504300019
Дата опубликования: 30.04.2025
Страница №162 из 171:
Увеличить