Официальное опубликование правовых актов
ОФИЦИАЛЬНОЕ ОПУБЛИКОВАНИЕ
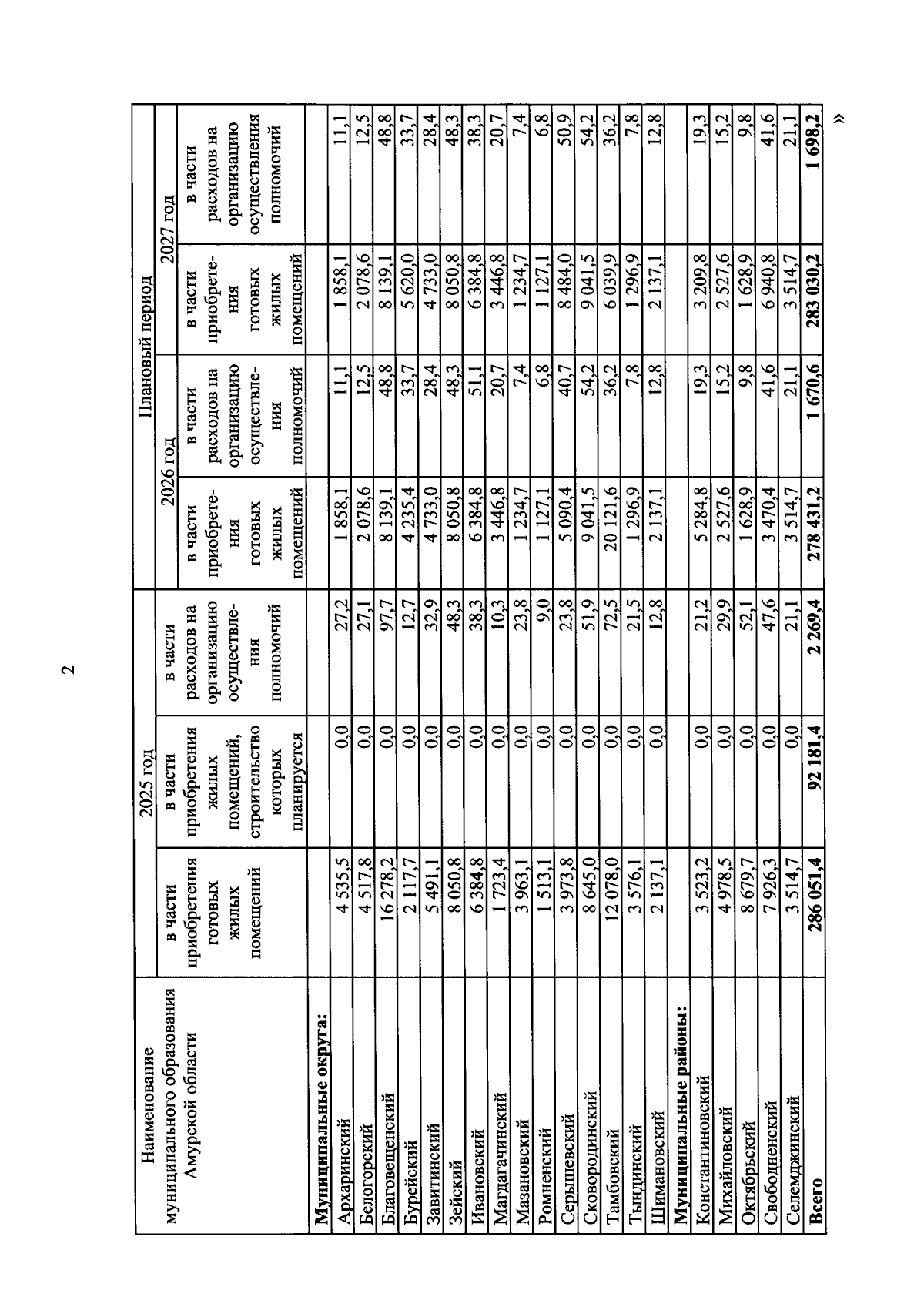
Закон Амурской области от 24.04.2025 № 633-ОЗ
"О внесении изменений в Закон Амурской области "Об областном бюджете на 2025 год и плановый период 2026 и 2027 годов"
Номер опубликования: 2800202504250002
Дата опубликования: 25.04.2025
Страница №61 из 71:
Увеличить