Официальное опубликование правовых актов
ОФИЦИАЛЬНОЕ ОПУБЛИКОВАНИЕ
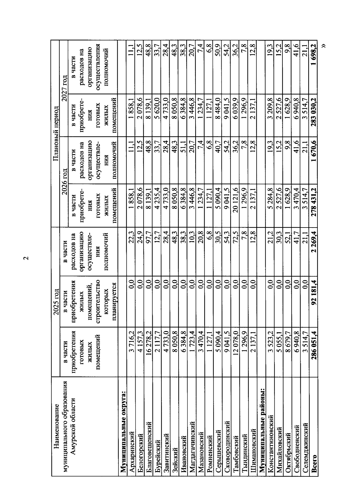
Закон Амурской области от 31.03.2025 № 619-ОЗ
"О внесении изменений в Закон Амурской области "Об областном бюджете на 2025 год и плановый период 2026 и 2027 годов"
Номер опубликования: 2800202504010001
Дата опубликования: 01.04.2025
Страница №58 из 71:
Увеличить