Официальное опубликование правовых актов
ОФИЦИАЛЬНОЕ ОПУБЛИКОВАНИЕ
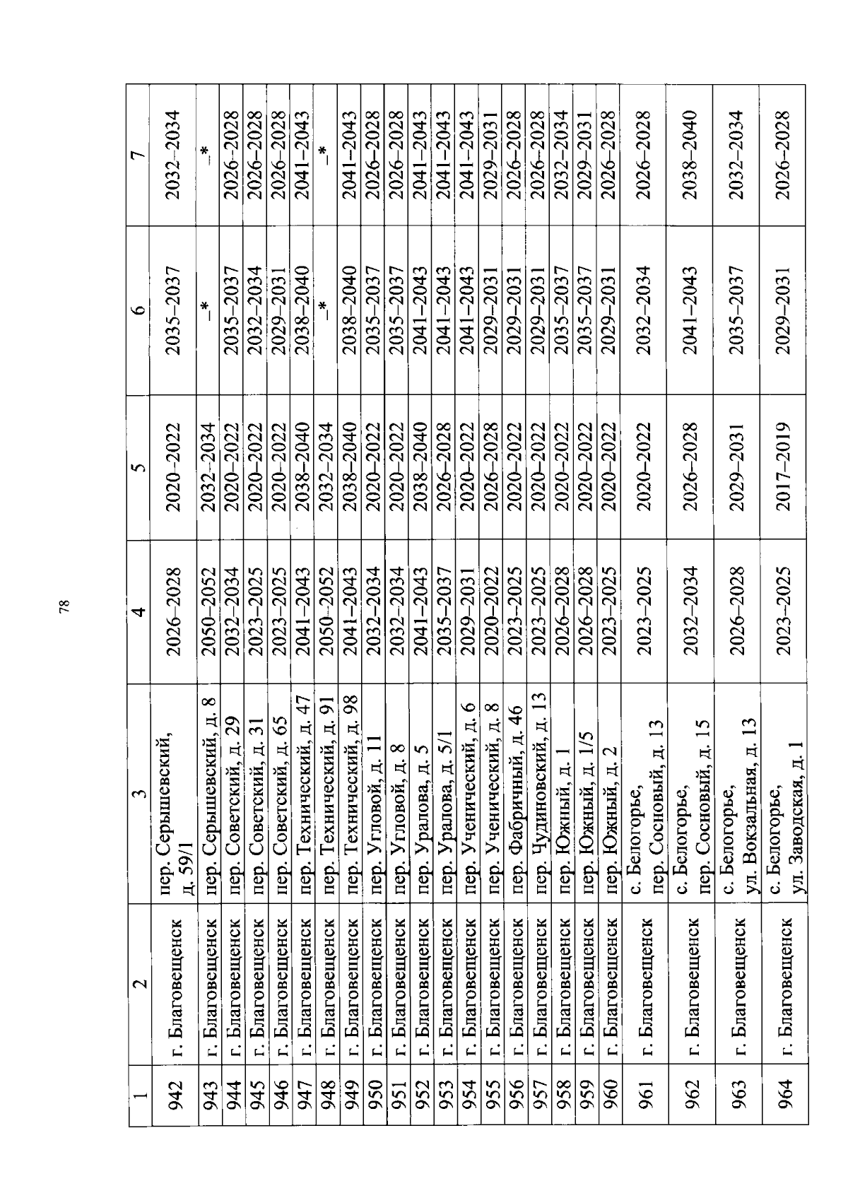
Постановление Правительства Амурской области от 28.10.2024 № 844
"О внесении изменений в постановление Правительства Амурской области от 23.01.2014 № 26"
Номер опубликования: 2800202411010005
Дата опубликования: 01.11.2024
Страница №79 из 331:
Увеличить