Официальное опубликование правовых актов
ОФИЦИАЛЬНОЕ ОПУБЛИКОВАНИЕ
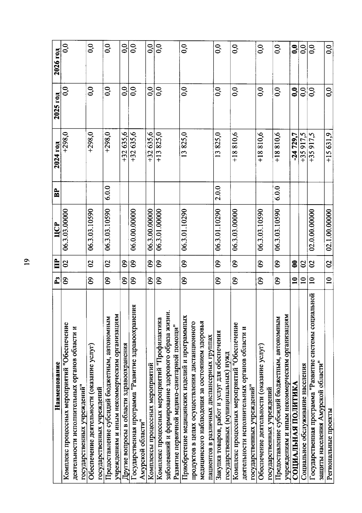
Закон Амурской области от 26.09.2024 № 540-ОЗ
"О внесении изменений в Закон Амурской области "Об областном бюджете на 2024 год и плановый период 2025 и 2026 годов"
Номер опубликования: 2800202409270021
Дата опубликования: 27.09.2024
Страница №31 из 90:
Увеличить