Официальное опубликование правовых актов
ОФИЦИАЛЬНОЕ ОПУБЛИКОВАНИЕ
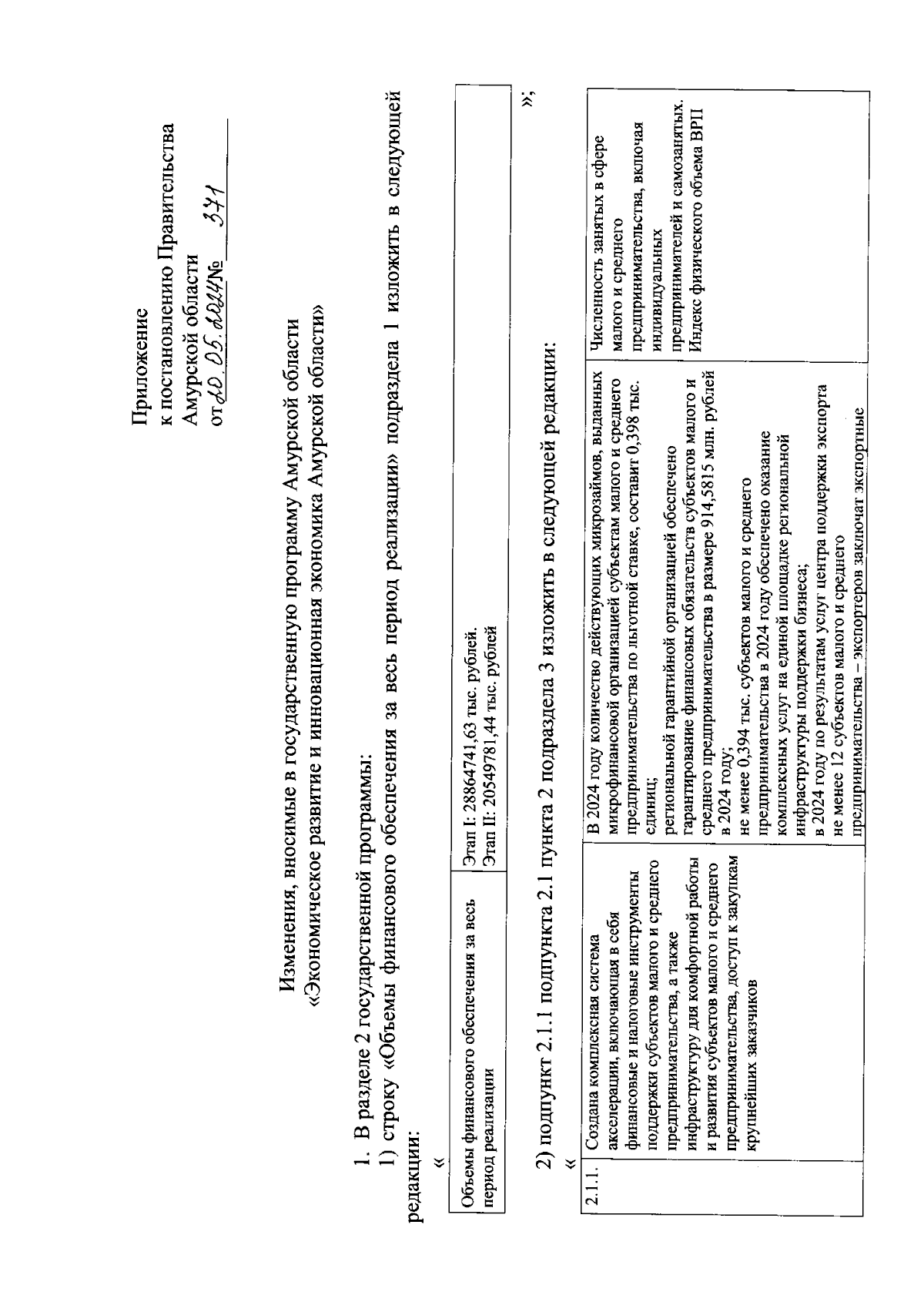
Постановление Правительства Амурской области от 20.05.2024 № 371
"О внесении изменений в постановление Правительства Амурской области от 25.09.2023 № 798"
Номер опубликования: 2800202405220001
Дата опубликования: 22.05.2024
Страница №2 из 34:
Увеличить