Официальное опубликование правовых актов
ОФИЦИАЛЬНОЕ ОПУБЛИКОВАНИЕ
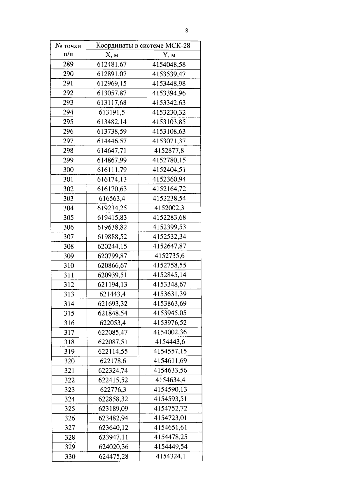
Закон Амурской области от 25.04.2024 № 482-ОЗ
"О преобразовании сельских поселений Мазановского района Амурской области во вновь образованное муниципальное образование Мазановский муниципальный округ Амурской области"
Номер опубликования: 2800202404260003
Дата опубликования: 26.04.2024
Страница №21 из 247:
Увеличить