Официальное опубликование правовых актов
ОФИЦИАЛЬНОЕ ОПУБЛИКОВАНИЕ
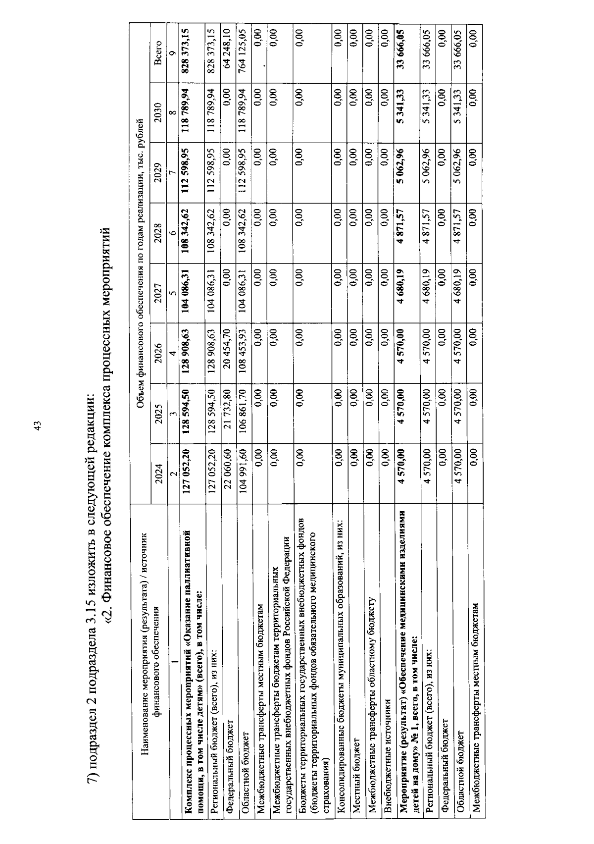
Постановление Правительства Амурской области от 29.02.2024 № 134
"О внесении изменений в постановление Правительства Амурской области от 25.09.2023 № 795"
Номер опубликования: 2800202403040010
Дата опубликования: 04.03.2024
Страница №44 из 49:
Увеличить