Официальное опубликование правовых актов
ОФИЦИАЛЬНОЕ ОПУБЛИКОВАНИЕ
Постановление Правительства Амурской области от 19.02.2024 № 105
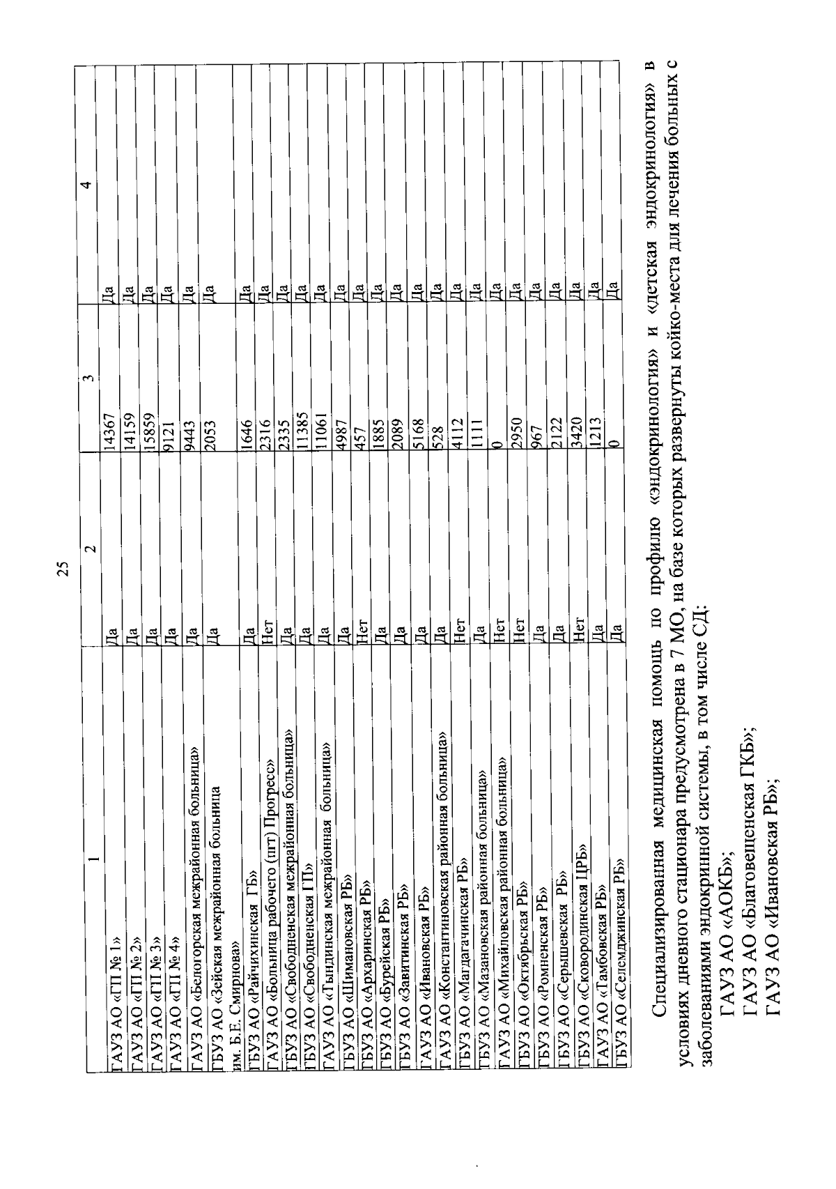
"Об утверждении региональной программы Амурской области "Борьба с сахарным диабетом"
Номер опубликования: 2800202402220005
Дата опубликования: 22.02.2024
Страница №26 из 77:
Увеличить