Официальное опубликование правовых актов
ОФИЦИАЛЬНОЕ ОПУБЛИКОВАНИЕ
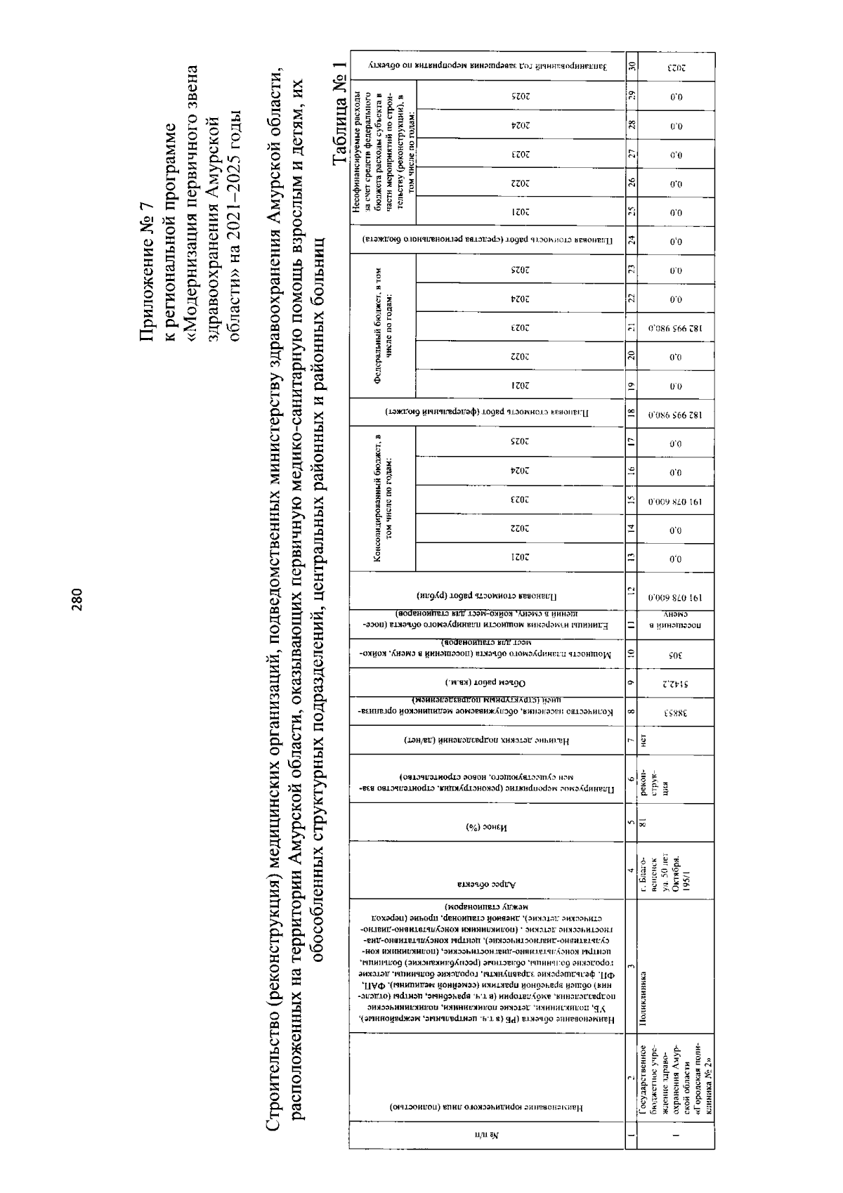
Постановление Правительства Амурской области от 28.12.2023 № 1135
"О внесении изменений в постановление Правительства Амурской области от 14.12.2020 № 849"
Номер опубликования: 2800202312290003
Дата опубликования: 29.12.2023
Страница №281 из 660:
Увеличить