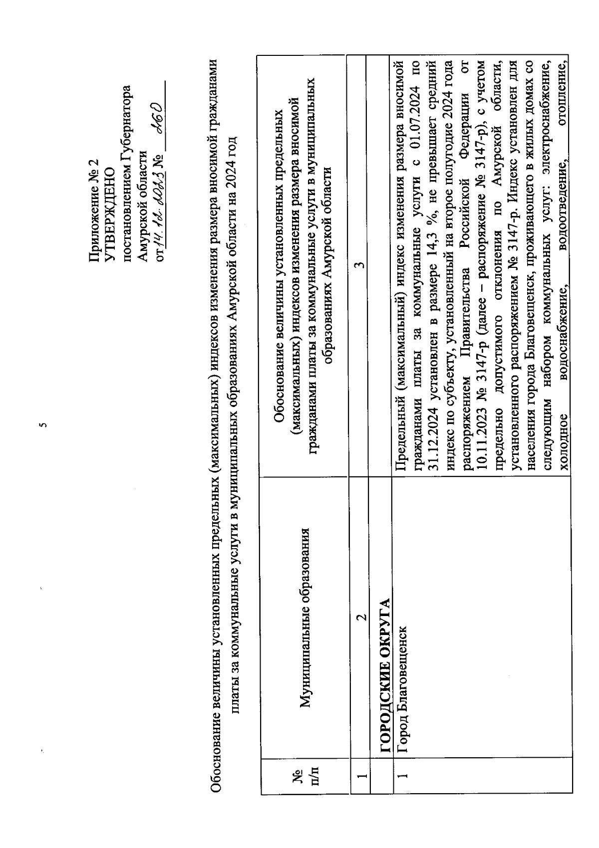
Постановление губернатора Амурской области от 14.12.2023 № 260
"Об утверждении предельных (максимальных) индексов изменения размера вносимой гражданами платы за коммунальные услуги в муниципальных образованиях Амурской области на 2024 год"
"Об утверждении предельных (максимальных) индексов изменения размера вносимой гражданами платы за коммунальные услуги в муниципальных образованиях Амурской области на 2024 год"
Номер опубликования: 2800202312200002
Дата опубликования:
20.12.2023
