Официальное опубликование правовых актов
ОФИЦИАЛЬНОЕ ОПУБЛИКОВАНИЕ
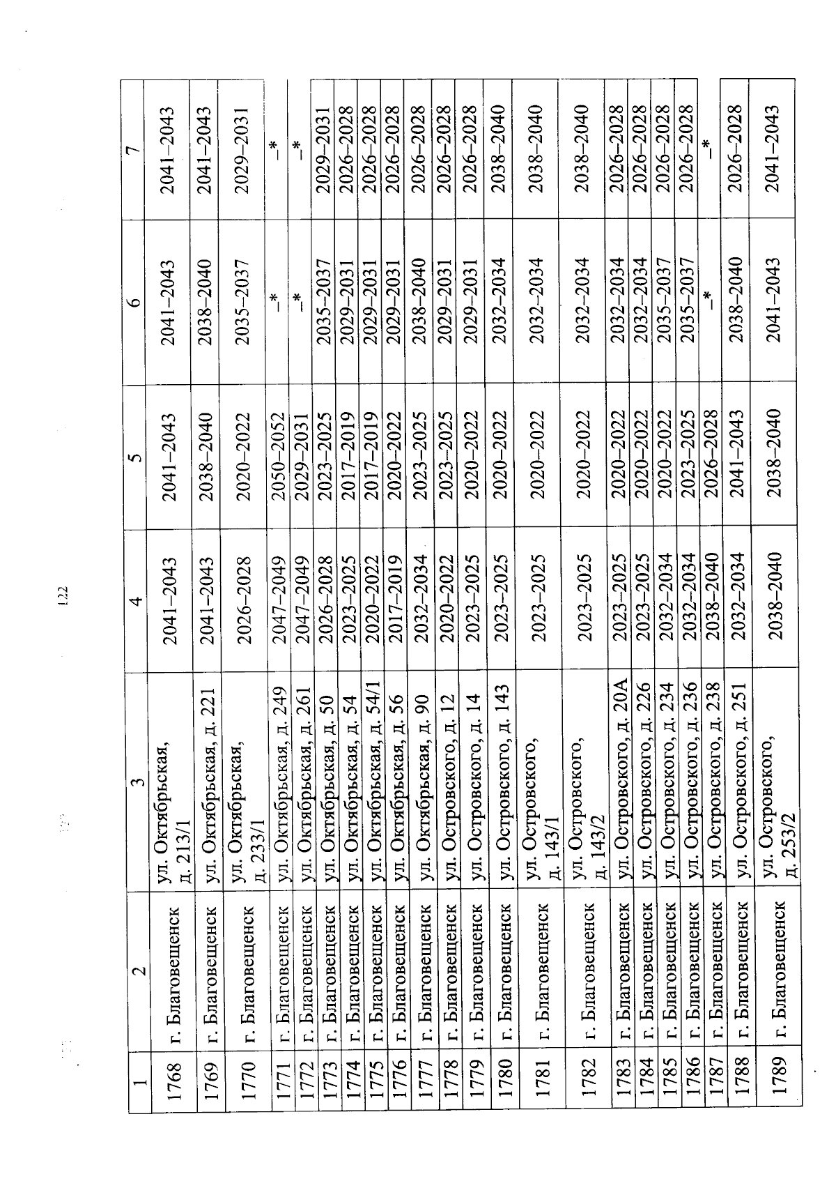
Постановление Правительства Амурской области от 22.11.2023 № 979
"О внесении изменений в постановление Правительства Амурской области от 23.01.2014 № 26"
Номер опубликования: 2800202311240006
Дата опубликования: 24.11.2023
Страница №124 из 329:
Увеличить