Официальное опубликование правовых актов
ОФИЦИАЛЬНОЕ ОПУБЛИКОВАНИЕ
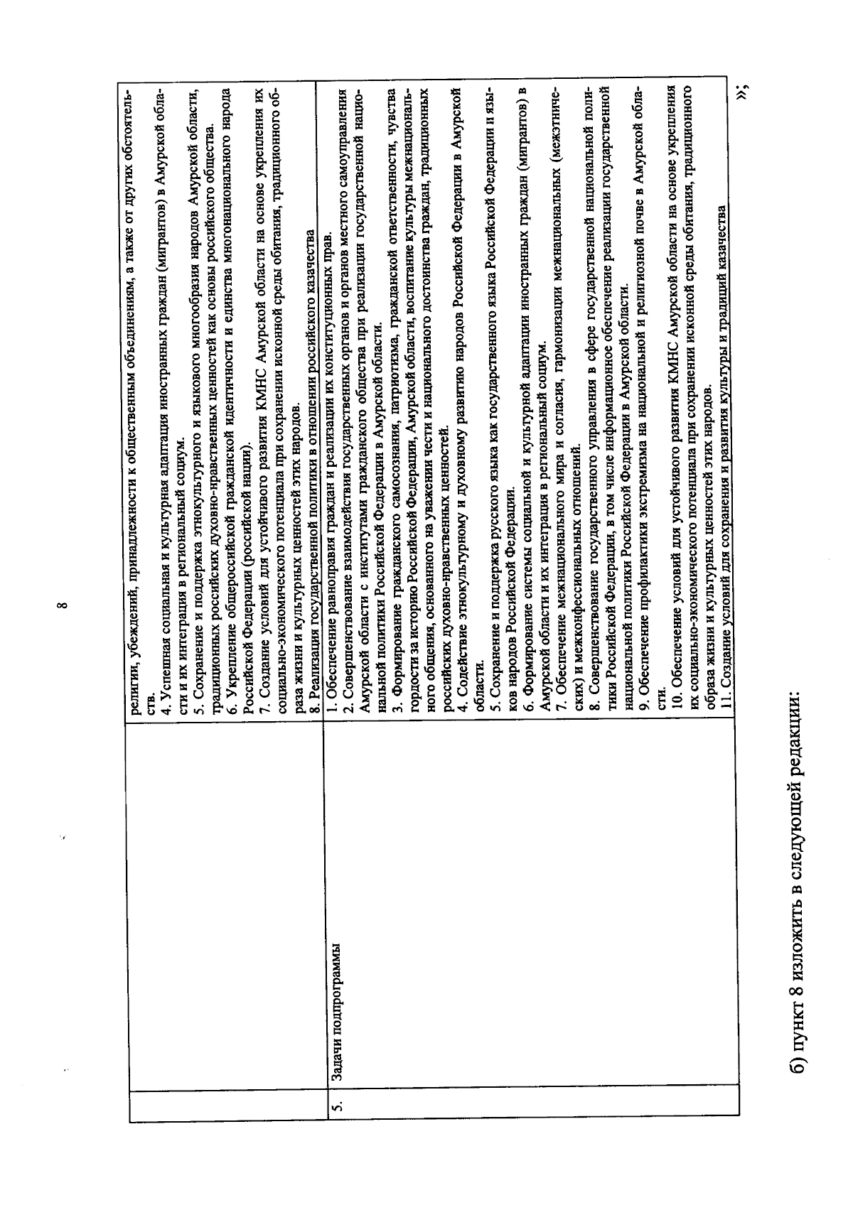
Постановление Правительства Амурской области от 05.10.2023 № 836
"О внесении изменений в постановление Правительства Амурской области от 25.09.2013 № 443"
Номер опубликования: 2800202310120002
Дата опубликования: 12.10.2023
Страница №9 из 59:
Увеличить