Официальное опубликование правовых актов
ОФИЦИАЛЬНОЕ ОПУБЛИКОВАНИЕ
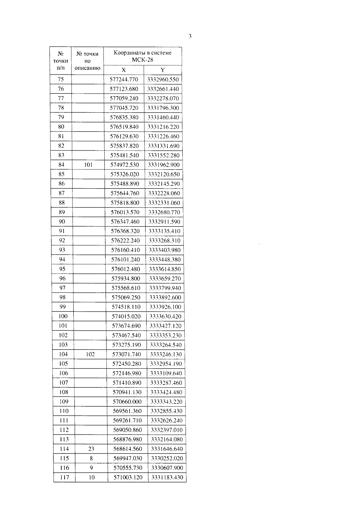
Закон Амурской области от 31.08.2023 № 355-ОЗ
"О внесении изменений в некоторые законодательные акты Амурской области, устанавливающие границы муниципальных образований Амурской области"
Номер опубликования: 2800202309010014
Дата опубликования: 01.09.2023
Страница №33 из 105:
Увеличить