Официальное опубликование правовых актов
ОФИЦИАЛЬНОЕ ОПУБЛИКОВАНИЕ
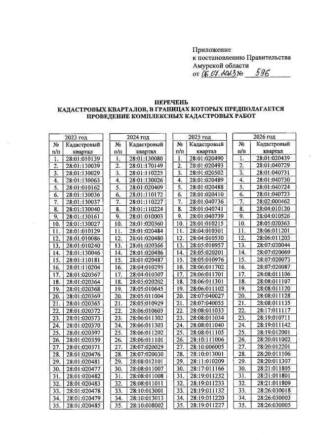
Постановление Правительства Амурской области от 06.07.2023 № 596
"О внесении изменения в постановление Правительства Амурской области от 07.07.2017 № 322"
Номер опубликования: 2800202307080011
Дата опубликования: 08.07.2023
Страница №2 из 4:
Увеличить