Официальное опубликование правовых актов
ОФИЦИАЛЬНОЕ ОПУБЛИКОВАНИЕ
Постановление Правительства Амурской области от 01.06.2023 № 491
"Об утверждении региональной программы Амурской области "Борьба с сердечно-сосудистыми заболеваниями"
Номер опубликования: 2800202306070020
Дата опубликования: 07.06.2023
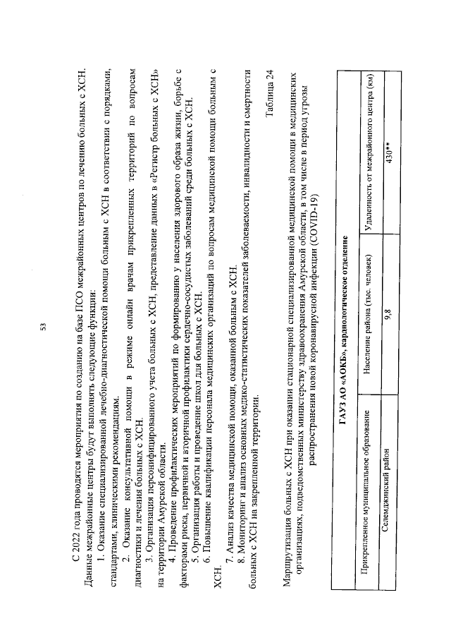
Страница №54 из 181:
Увеличить