Официальное опубликование правовых актов
ОФИЦИАЛЬНОЕ ОПУБЛИКОВАНИЕ
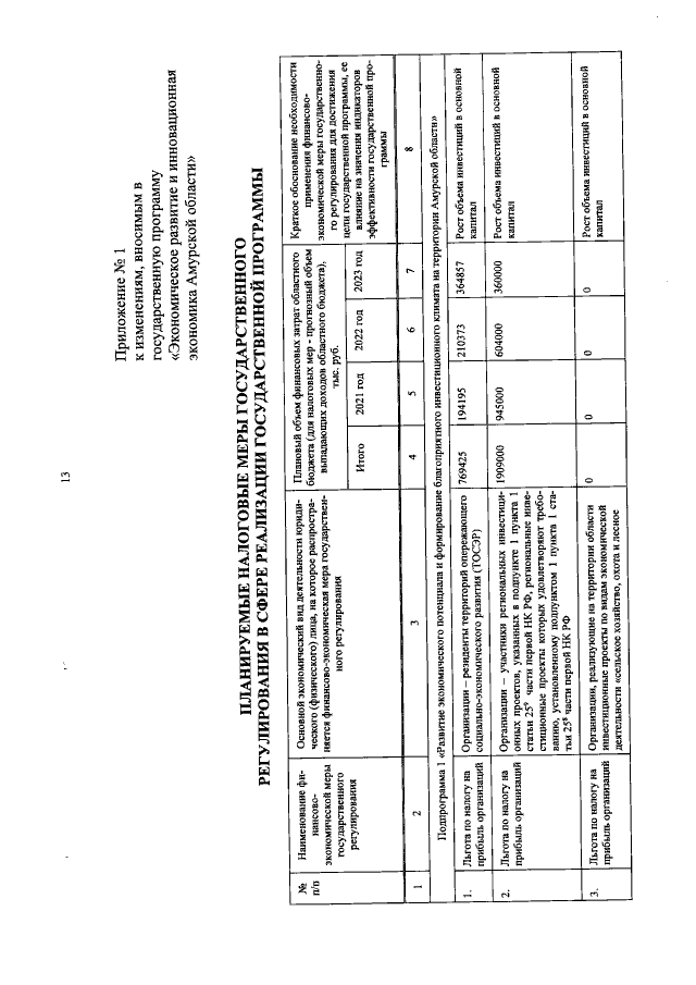
Постановление Правительства Амурской области от 27.10.2021 № 841
"О внесении изменений в постановление Правительства Амурской области от 25.09.2013 № 445"
Номер опубликования: 2800202110290008
Дата опубликования: 29.10.2021
Страница №14 из 46:
Увеличить