Официальное опубликование правовых актов
ОФИЦИАЛЬНОЕ ОПУБЛИКОВАНИЕ
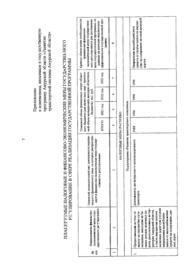
Постановление Правительства Амурской области от 22.09.2021 № 719
"О внесении изменений в постановление Правительства Амурской области от 25.09.2013 № 450"
Номер опубликования: 2800202109290008
Дата опубликования: 29.09.2021
Страница №8 из 9:
Увеличить