Официальное опубликование правовых актов
ОФИЦИАЛЬНОЕ ОПУБЛИКОВАНИЕ
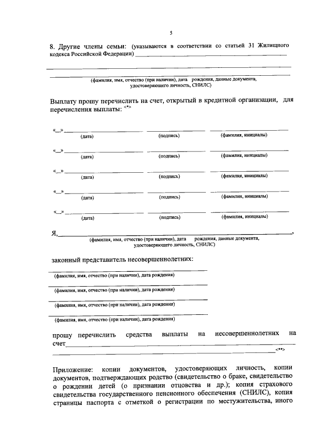
Постановление Правительства Амурской области от 29.06.2021 № 416
"Об осуществлении выплат гражданам, пострадавшим в результате чрезвычайной ситуации"
Номер опубликования: 2800202106300001
Дата опубликования: 30.06.2021
Страница №10 из 11:
Увеличить