Официальное опубликование правовых актов
ОФИЦИАЛЬНОЕ ОПУБЛИКОВАНИЕ
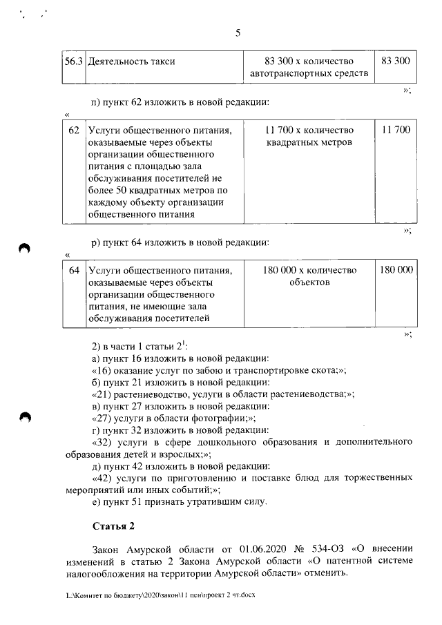
Закон Амурской области от 02.12.2020 № 633-ОЗ
"О внесении изменений в статьи 2 и 2-1 Закона Амурской области "О патентной системе налогообложения на территории Амурской области"
Номер опубликования: 2800202012030001
Дата опубликования: 03.12.2020
Страница №6 из 7:
Увеличить